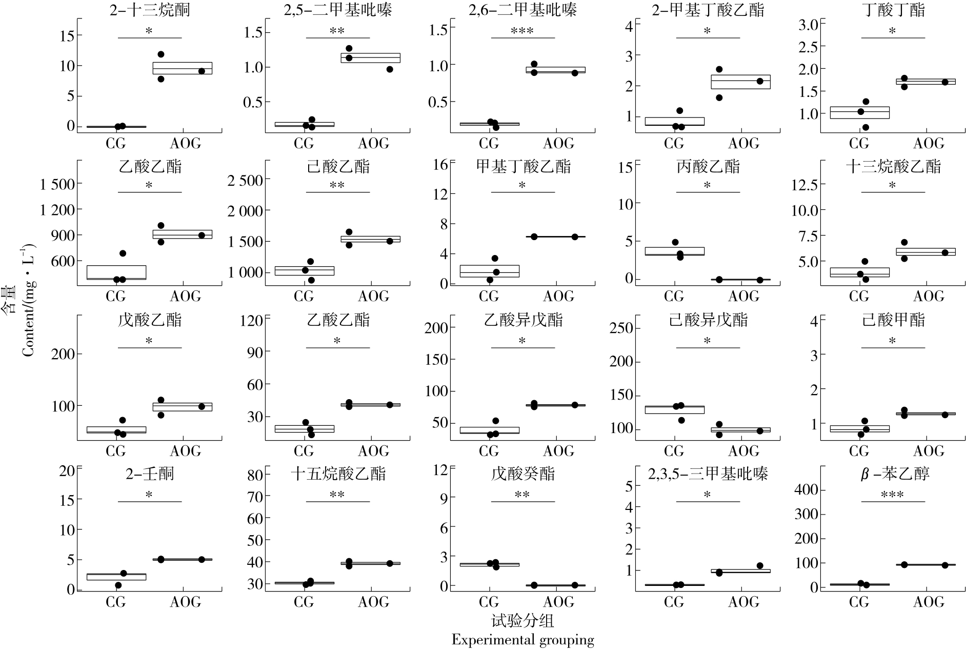
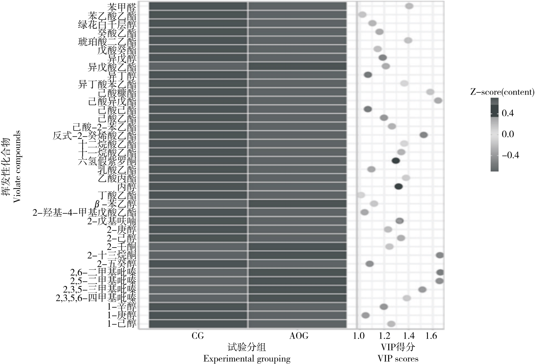
2026, 42(2):1-10. DOI: 10.13652/j.spjx.1003.5788.2025.81115
摘要:目的 探究多孔紫砂陶瓷材料对馥郁香型白酒基酒陈酿品质的影响,优化陈酿工艺。方法 制备多孔紫砂陶瓷球,采用场发射扫描电镜与表面积估算模型表征陶瓷球;设计单因素试验,通过气相色谱法定量分析23种主要挥发性风味物质并结合理化性质与感官评价,研究温度、多孔紫砂陶瓷球添加量与处理时间对酒体品质的影响。结果 同等质量下多孔紫砂陶瓷球的表面积是陶坛的714倍;最佳陈酿工艺为:陈酿温度50 ℃、多孔紫砂陶瓷球用量0.10%、陈酿时间210 d。该工艺下馥郁香基酒pH为3.53,电导率为11.2 μS/cm,总酸质量浓度为2.58 g/L,总酯质量浓度为0.78 g/L;19种风味物质为主要贡献组分,风味物质呈现“酸增酯减”特征,总醇质量浓度略有下降;感官评价平均得分为93.67,酒体品质优于自然贮藏1年的馥郁香型基酒。结论 多孔紫砂陶瓷材料辅助控温的陈酿工艺,能够缩短馥郁香型白酒基酒的陈化时间。
余有贵,杨涛,朱栋才,李杰,吴立平,邵琦琦,杨陶,陈正培,汤向阳
2026, 42(2):10-23. DOI: 10.13652/j.spjx.1003.5788.2026.60005
摘要:目的 探究沪酿3.042在白酒酿造中的跨界强化效果。方法 在李渡白酒传统中高温大曲原料中植入添加量为1%的沪酿3.042种子培养强化大曲及其回糟酿酒,以酒曲和回糟基酒为样品,运用单分子实时测序及顶空固相微萃取—气相色谱—质谱联用技术,解析大曲理化特性、微生物群落组成及基酒风味化合物与大曲主要微生物的关联性。结果 ① 强化大曲水分略降(P>0.05),酸度显著下降(P<0.05),液化力略升(P>0.05),蛋白酶、糖化力、发酵力和酯化力均显著上升(P<0.05)。② 强化大曲细菌多样性下降、真菌多样性上升,优势菌属为芽孢杆菌属(Bacillus)、莱德伯格菌属(Lederbergia)、海恩德氏菌属(Heyndrickxia)和克罗诺杆菌属(Cronobacter)、嗜热子囊菌属(Thermoascus)和曲霉菌属(Aspergillus)6类。③ 强化组基酒与对照组风味化合物种数差异小(P>0.05),但总量平均提升22.19%(P>0.05),酮类提升81.32%(P<0.05)、吡嗪类提升360.26%(P<0.01),酯类、醛类略有提升而醇类略有减少(P>0.05),有20种差异性关键化合物(P<0.05,VIP>1),以果香、花香、奶香和焦香香气为主。④ 米曲霉(Aspergillus)、枯草芽孢杆菌(Bacillus)与甲基丁酸乙酯呈显著正相关(P<0.05),与吡嗪类、酮类化合物呈正相关。结论 添加1%的沪酿3.042种子可改善中高温大曲理化及微生物结构,提升李渡基酒关键风味化合物含量。
2026, 42(2):24-35. DOI: 10.13652/j.spjx.1003.5788.2024.81123
摘要:目的 利用网络药理学、生物信息学、分子对接方法探讨芝麻油治疗失眠的分子机制。方法 通过TCMSP和Herb数据库筛选芝麻油靶点,并在GeneCard、ETCM、DrugBank数据库和GSE189993数据集中检索失眠相关靶点,取交集得到共有靶点。使用String软件构建蛋白互作网络,进行GO功能和KEGG通路富集分析。通过AutoDock工具进行分子对接,对活性成分与靶点的结合能力进行评估。结果 共筛选得到160个共有靶点,通过拓扑分析确定了8个关键基因。这些靶点与神经活性配体—受体相互作用,5-羟色胺能突触和多巴胺能突触等神经系统相关通路有关。分子对接结果显示,TNF、IL6、IL1B等7个关键基因对应蛋白与芝麻油活性成分之间具有较强的结合活性。结论 芝麻油通过多成分、多靶点、多通路协同发挥对失眠症的治疗作用。
2026, 42(2):36-44. DOI: 10.13652/j.spjx.1003.5788.2025.81042
摘要:目的 为响应健康饮食“减糖”趋势,探究糖质量分数对湘西萝卜泡菜风味形成的影响。方法 设置10%,30%,50% 3个质量分数糖处理组,采用GC-MS结合16S rRNA高通量测序技术,系统监测发酵过程中代谢物与菌群结构的动态变化。结果 促生乳杆菌属(Levilactobacillus)与乳植杆菌属(Lactiplantibacillus)为发酵优势菌属,其中10%糖质量分数组中的两者丰度最高(P<0.05);发酵后期,30%糖质量分数组积累了更丰富的醇类、糖类及有机酸类物质,风味层次更为协调。PLS-DA筛选出16种关键代谢物,相关性分析显示两种优势菌属分别与9种和12种风味物质代谢显著相关。结论 适度降低糖质量分数有助于强化菌群功能并促进风味物质合成。
2026, 42(2):45-51. DOI: 10.13652/j.spjx.1003.5788.2025.80363
摘要:目的 探究贡柑浊汁中蛋白组分的特性及起云蛋白的种类。方法 利用蛋白组学分析贡柑浊汁中上清蛋白和沉淀蛋白的蛋白组学特征。结果 贡柑浊汁中上清蛋白和沉淀蛋白组分的电泳条带显示出明显的差异。沉淀蛋白与上清蛋白相比有2 897种差异蛋白,包含2 487种上调差异蛋白和410种下调差异蛋白。贡柑浊汁上调差异蛋白主要富集在酪氨酸代谢、脂肪酸降解、吞噬体等代谢通路,主要来自叶绿体、细胞质和细胞核等细胞组分。从上调差异蛋白中筛选得到6种贡柑浊汁起云蛋白,包括1种病程相关蛋白和5种糖蛋白。结论 蛋白组学可用于探究贡柑浊汁的蛋白差异。
2026, 42(2):51-57. DOI: 10.13652/j.spjx.1003.5788.2025.80074
摘要:目的 建立猪肉中鸡肉、鸭肉掺假数字PCR定量检测方法。方法 根据猪肉、鸭肉和鸡肉的单拷贝特异性基因设计引物及探针,构建了肉制品中动物源性成分的数字PCR定量检测方法,并进行方法的检测低限、灵敏度和特异性验证,引入转换系数K将拷贝数转换为肉类的质量分数,并用于检测20份市售肉制品样品。结果 建立了猪肉中鸡肉、鸭肉掺假数字PCR定量检测方法,其前处理中引入了冻干法制备样本。该方法对猪源性、鸡源性、鸭源性成分的检测低限均为5 pg/mL,各样本浓度与实测拷贝数相关系数R2>0.99;可以区分0.1%的混合比例,方法灵敏度高;仅以猪、鸭和鸡源性为模板的反应中检测到阳性液滴,方法特异性良好;定量检测公式为ω猪/ω鸭=2.60×Q猪/Q鸭,ω猪/ω鸡=5.43×Q猪/Q鸡,K值分别为2.60和5.43。20份市售样品中3份样品检出不同程度的掺假现象。结论 研究建立的数字PCR方法具有良好的特异性、灵敏性、准确性和适用性,可实现猪肉加工制品中鸭源性和鸡源性成分的定量检测。
2026, 42(2):58-65. DOI: 10.13652/j.spjx.1003.5788.2025.80179
摘要:目的 探究热分析技术在辣椒粉掺假鉴别中的应用。方法 利用热分析仪对不同产地的辣椒粉样品、掺假样品(玉米、麦麸、稻壳和大米)、不同掺假物和掺假比例的模拟掺假样品以及市售样品进行热分析。样品经粉碎后,过60目筛网,在热分析仪以10 ℃/min的升温速率,在室温~800 ℃的温度范围,以流量100 mL/min的氮气为气氛,空铝坩埚为参比物,进行样品分析,并解析各样品的热特征行为。结果 纯辣椒粉样品的主要失重阶段温度范围为180~579 ℃,失重率为60.50%,掺假样品玉米粉、麦麸粉、稻壳粉、大米粉的主要失重温度范围分别为256~386,252~392,203~414,249~349 ℃,相比纯辣椒粉样品,掺假物表现出更集中的热分解区间,主要失重阶段的起始和终止温度的差异可作为鉴别辣椒粉真伪的判断依据;此外,根据热重曲线和热导微分曲线,不同比例的自制模拟掺假样品与纯辣椒粉样品均能被较好区分。结论 热分析技术可以应用于辣椒粉样品的掺假鉴别,该方法简单、无需复杂的样品前处理。
2026, 42(2):66-73. DOI: 10.13652/j.spjx.1003.5788.2025.80236
摘要:赖丙氨酸是一种由赖氨酸和脱氢丙氨酸加成生成的交联氨基酸。高蛋白食品在加工过程(如碱处理、热处理)中易形成赖丙氨酸,该赖丙氨酸对人体具有一定的肾毒性,亦会影响人体消化功能,其形成过程还会消耗必需氨基酸降低食品营养价值。目前,赖丙氨酸定量检测主要采用液相色谱法和液质联用法。文章分别从前处理、衍生化和仪器检测3个维度,对已报道的赖丙氨酸检测方法进行综述和讨论,旨在为开发高灵敏度、高精准稳定的赖丙氨酸检测方法提供参考。
2026, 42(2):74-81. DOI: 10.13652/j.spjx.1003.5788.2025.60180
摘要:目的 针对基于X射线的包装食品异物检测中,图像低频特征占比高、异物与背景灰度差异小导致检测精度低,以及微小异物特征易丢失等问题,提出一种改进的智能化检测方案,解决传统检测方法无法满足自动化生产线实时性与可靠性要求。方法 在包装食品内异物智能化检测系统的基础上,提出一种融合改进YOLOv13模型和X射线的包装食品内异物智能化检测方法。重构核心特征提取模块DC-A2C2F,精准聚焦异物边缘的灰度突变区域,提升异物特征与背景的区分度;在骨干网络中引入多阶特征聚合模块MFAM,缓解微小异物特征稀释问题,保留关键细节信息;设计双路径融合金字塔网络(DFPN)优化颈部结构,实现语义信息与细节信息的均衡匹配,适配不同尺寸异物的检测需求。结果 所提方法在包含金属、玻璃、塑料等多类型异物的平均精度均值>98.50%,相较于YOLOv13模型,漏检率从2.2%降至0.4%,同时保持50帧/s以上的推理速度。结论 改进YOLOv13模型能够精准适配X射线图像的特征特性,所提检测方法兼具高检测精度、低漏检率与实时性,完全满足自动化生产线实时检测需求。
2026, 42(2):82-92. DOI: 10.13652/j.spjx.1003.5788.2025.80435
摘要:目的 针对隧道式鹿茸菇烘干机内部流场分布不均引发的干燥品质问题,提出基于多孔介质模型的结构优化方法,旨在提升干燥均匀性与能效。方法 通过实测获取鹿茸菇的黏性阻力系数与惯性阻力系数,建立Realizable k-ε湍流—多孔介质耦合模型;设计双端均流板导流装置,基于六方密排孔阵优化气流分布,结合5种孔径方案的压降特性分析筛选最优参数。结果 优化后YZ、XZ、XY截面平均速度分别提升了48%,25%,26%,风速不均匀系数降低了62%,48%,49%;验证实验表明,干燥均匀性指数标准差降低了67.5%,单位能耗效率提升了30.1%,干燥周期缩短了19%。结论 均流板孔径对流场整形的双效机制:细窄孔径通过加速气流抑制流动分离,周期性孔阵均衡速度分布。
2026, 42(2):93-99. DOI: 10.13652/j.spjx.1003.5788.2025.60162
摘要:目的 针对现有Delta机器人轨迹跟踪控制方法在食品自动化生产场景中存在的跟踪精度不足、动态响应滞后等问题,满足食品分拣的高精度、高速度作业需求,提出一种优化方案。方法 在食品自动化生产系统基础上,提出一种融合反演控制、分数阶理论、滑模控制和自适应律的Delta机器人轨迹跟踪控制方法。通过自适应律用于实时补偿系统参数扰动与外部干扰,利用分数阶理论优化系统动态响应特性,结合反演控制与滑模控制协同作用提升轨迹跟踪稳定性。并搭建食品分拣试验平台验证试验方法的性能。结果 与传统轨迹控制方法相比,试验方法的轨迹跟踪误差均方根降幅超50%,动态响应速度提升8%以上,在不同负载与干扰条件下仍保持良好的稳定性,可有效满足食品分拣的高精度作业要求。结论 多方法融合的控制策略显著提升了Delta机器人在食品自动化生产中的作业精度与相应速度。
2026, 42(2):100-108. DOI: 10.13652/j.spjx.1003.5788.2025.60156
摘要:目的 针对食品分拣过程中Delta机器人传统轨迹规划存在的运行效率低、能耗大、稳定性差等问题,有效降低食品分拣的运行时间、减少能耗和提高稳定性,提出相应的轨迹优化方案。方法 在食品分拣系统架构基础上,提出一种结合五次均匀B样条曲线和多目标优化的Delta机器人轨迹优化方法。首先通过五次均匀B样条曲线进行轨迹规划,降低运动冲击;随后构建多目标(时间、能耗、稳定性)优化模型,采用改进多目标粒子群算法(自适应权重调整和拥挤度排序优化)对模型进行求解,获得最优轨迹参数。最后搭建试验平台验证所提方法的优越性。结果 与常规方法相比,试验方法可使机器人运行时间缩短9.50%以上,能耗降低9.00%以上,稳定性提升18.00%以上,实际分拣准确率保持在97.50%以上,平均分拣时间<0.80 s。结论 试验方法能够实现运行时间、能耗与稳定性的多目标协同优化,有效提升Delta机器人在食品分拣场景中的运行性能与稳定性。
2026, 42(2):109-117. DOI: 10.13652/j.spjx.1003.5788.2025.80315
摘要:目的 探究适合海参低温有水保活的月桂烯最佳浓度,延长其有水保活时间。方法 分析月桂烯浓度(0,10,20,30,40,50 μL/L)对海参有水保活过程中海参体壁pH、硬度和可溶性蛋白含量的影响,比较保活前后海参感官评分、体壁水分状态和分布、微观结构的变化情况,并探究最佳浓度的月桂烯对海参保活过程中免疫和抗氧化酶活性的影响。结果 随着保活时间的延长,海参体壁硬度和可溶性蛋白含量逐渐下降,在同一保活时间下,30 μL/L月桂烯处理组的海参体壁pH、硬度和可溶性蛋白含量显著高于对照组。随着保活时间的延长,海参肠中碱性磷酸酶、超氧化物歧化酶、过氧化氢酶、总抗氧化能力均先升高后降低,在保活6 d或8 d时达到峰值,而30 μL/L月桂烯处理组的酶活性变化显著低于对照组。与对照组相比,海参在30 μL/L的月桂烯水溶液中保活12 d后感官评分和体壁结合水含量显著升高,肌原纤维组织保持完整,自溶现象得到抑制。结论 30 μL/L的月桂烯可有效减缓海参有水保活过程中的氧化应激损伤程度,提高海参品质。
2026, 42(2):118-125. DOI: 10.13652/j.spjx.1003.5788.2025.80445
摘要:目的 探究茶黄素和气调包装联用对冷藏风干带鱼品质的影响。方法 检测风干带鱼冷藏过程的过氧化值(PV)、硫代巴比妥酸值(TBARS)、DPPH自由基清除能力、羟自由基清除能力、超氧阴离子自由基清除能力和菌落总数(TBC)等指标。结果 70% CO2+30% N2气调包装和0.3 g/kg茶黄素联合应用对风干带鱼PV和TBARS的快速上升有显著抑制作用(P<0.05),对各自由基有显著清除能力(P<0.05),感官评分值更优。此外,该组TBC显著低于其他组(P<0.05),冷藏贮藏10 d时,TBC为5.40 log(CFU/g),比对照组降低了46.27%。相关性分析表明,脂肪氧化程度、腐败程度与抗氧化能力之间存在密切联系。结论 70% CO2+30% N2气调包装和0.3 g/kg茶黄素联合处理可有效保持风干带鱼的品质。
2026, 42(2):126-132. DOI: 10.13652/j.spjx.1003.5788.2025.80514
摘要:目的 提高香蕉成熟度的识别效率。方法 提出基于改进YOLOv11n模型的香蕉成熟度识别方法。在YOLOv11n模型中,引入改进后的极化自注意力机制,提升骨干网络在多个香蕉果实分布场景下的特征提取能力;使用内容感知的特征重组模块替换原始上采样,增大感受野,更有效地聚合上下文信息;将斯库拉交并比损失函数作为新的边界框损失函数,计算真实框与预测框之间的向量角度,更好地解决真实框与预测框的匹配问题,降低漏检和错检机率。结果 改进后的方法在平均精度均值0.50和平均精度均值0.50~0.95指标上分别提高了1.4%和3.0%,识别精度高于现有方法。结论 改进方法有效提升了香蕉成熟度识别的准确性和效率,具有较高的实用价值。
2026, 42(2):133-138. DOI: 10.13652/j.spjx.1003.5788.2025.80706
摘要:目的 探究电子束辐照(EBI)对高水分的广西香米贮藏品质的影响。方法 用不同辐照剂量(1~5 kGy)的电子束辐照高水分香米,分析其在贮藏期间的理化性质和食用品质变化。结果 低剂量EBI处理后,香米含水量无显著变化;贮藏过程中,辐照香米的脂肪酶活性以及脂肪酸值的增长速率降低,微生物繁殖受到抑制;与未辐照香米相比,辐照香米的加热吸水率、体积膨胀率和直链淀粉含量随着贮藏时间的延长呈缓慢上升趋势;且低剂量EBI处理可以延缓香米贮藏期品质劣变,同时对其感官特性影响较小。结论 较低剂量的EBI处理可在一定程度上延长高水分广西香米的贮藏期,且对其贮藏品质影响较小。
2026, 42(2):139-151. DOI: 10.13652/j.spjx.1003.5788.2025.81029
摘要:目的 探讨甘草黄酮A(licochalcone A)通过长链非编码RNA(LncRNA)调控AMPK/mTOR信号轴抑制结直肠癌生长的分子机制。方法 以人结直肠癌细胞HCT116及裸鼠皮下成瘤模型为研究对象,采用CCK-8、EdU检测细胞增殖,划痕试验、Transwell评估细胞迁移特性,运用qPCR技术检测增殖及迁移标志物表达水平,Western blotting法分析AMPK/mTOR通路相关蛋白表达模式。通过LncRNA测序筛选甘草黄酮A处理后HCT116细胞中的差异表达LncRNAs,再通过GO、KEGG富集分析其功能。借助裸鼠成瘤试验验证甘草黄酮A体内抗肿瘤效果,整合多数据库挖掘甘草黄酮A与结直肠癌作用靶点,构建蛋白质—蛋白质相互作用网络,筛选核心靶点并进行GO功能注释与KEGG通路富集分析,进一步通过上调LncRNA-CDC42BPA表达和RNA pull-down试验验证其功能和机制。结果 甘草黄酮A可呈剂量依赖性抑制HCT116细胞增殖,抑制DNA合成和细胞迁移;处理后共鉴定出1 001个差异LncRNA(其中下调556个,上调445个),GO/KEGG分析显示富集于代谢及AMPK/mTOR通路。Western blotting结果证实甘草黄酮A可激活AMPK、抑制mTOR。网络药理学筛选出51个交集靶点,PPI网络显示AKT1、CASP3和EGFR为核心调控节点,且KEGG再次确认AMPK/mTOR为关键通路。LncRNA-CDC42BPA过表达可抑制HCT116细胞增殖和迁移,其机制上通过与PTBP1、FMR1结合,进而调控AMPK/mTOR信号通路。结论 甘草黄酮A可通过调控LncRNA介导的AMPK/mTOR信号轴,抑制结直肠癌细胞增殖、迁移及体内肿瘤生长。
陈麟,布海丽且姆·阿卜杜热合曼,姜露熙,唐睿,张剑林,高智慧
2026, 42(2):152-159. DOI: 10.13652/j.spjx.1003.5788.2025.80512
摘要:目的 研究小白杏多糖的提取工艺,并对其结构进行表征。方法 以新疆小白杏为原材料,通过响应面试验优化小白杏多糖的提取工艺;运用高效液相色谱(HPLC)、傅里叶红外(FT-IR)、示差检测器、扫描电镜(SEM)等对多糖结构进行表征;采用DPPH自由基、ABTS+自由基和羟自由基清除能力探究小白杏多糖的抗氧化活性。结果 小白杏多糖的最佳提取工艺为料液比1∶40 (g/mL),提取时间6 h,提取温度80 ℃,该条件下多糖提取率为7.75%。小白杏多糖主要由L-鼠李糖(8.27%)、D-半乳糖醛酸(41.81%)、D-葡萄糖(27.47%)、D-半乳糖(9.25%)和L-阿拉伯糖(6.47%)组成,高半乳糖醛酸含量表明小白杏多糖主要成分为果胶。当小白杏多糖质量浓度为0.6 mg/mL时,ABTS+自由基、DPPH自由基和羟自由基清除率分别为73.00%,64.10%,40.50%;小白杏多糖在体外对ABTS+自由基显示出较强的抗氧化活性。结论 小白杏多糖是一类由鼠李糖、半乳糖醛酸、葡萄糖、半乳糖和阿拉伯糖组成的具有柑橘果胶类似结构的多糖。
2026, 42(2):160-167. DOI: 10.13652/j.spjx.1003.5788.2025.80292
摘要:目的 考察不同生长部位及生长年限下,椒蒿挥发油化学成分的差异性。方法 采用GC-MS进行挥发油化学成分分析检测,运用聚类热图和OPLS-DA进行差异性分析。结果 根、茎、叶中分别检出27,27,47种化合物,叶片中化合物种类最多且多数物质含量相对较高,个别物质仅存在于茎部和根部,如榄香素等物质在叶片中未检测到,但在根部含量却相对较高,3个生长部位中有32种化合物的VIP值>1.0;1,2,3年生椒蒿中分别检出35,46,52种化合物,多数化合物含量随年限的增加而提高,有35种化合物的VIP>1.0。结论 椒蒿挥发油化学成分在不同生长部位和生长年限下表现出显著差异性。其中,叶片和3年生化合物种类最为丰富,含量也相对较高。特定化合物(生长部位32种、生长年限35种VIP值>1.0)可作为鉴定椒蒿生长部位和生长年限的重要标志性物质。
2026, 42(2):168-174. DOI: 10.13652/j.spjx.1003.5788.2025.80367
摘要:目的 科学评价三元猪不同部位肉的氨基酸及挥发性风味物质差异。方法 选取三元猪的前腿肉、后腿肉及背最长肌进行氨基酸及挥发性风味化合物组成对比分析。结果 前腿肉、后腿肉和背最长肌的总氨基酸含量分别为16.13,15.69,17.26 g/100 g;必需氨基酸含量为6.33,6.12,6.71 g/100 g;非必需氨基酸含量为9.79,9.57,10.56 g/100 g。其中,背最长肌的鲜味氨基酸含量和甜味氨基酸含量均显著高于其他部位。此外,采用气相色谱-离子迁移谱联用技术(GC-IMS)在猪肉的不同部位中共鉴定出35种主要挥发性化合物,包括醛类、醇类、酯类、酮类等。结论 背最长肌的醛类物质和醇类物质总含量占比为37.51%,总体显著高于其他部位,整体风味较优。
2026, 42(2):175-183. DOI: 10.13652/j.spjx.1003.5788.2025.80331
摘要:目的 评估不同杀菌方式对石榴汁理化特性、酚类物质及香气成分的影响,为石榴汁加工中杀菌方式的选择提供科学依据。方法 以‘突尼斯’软籽石榴汁为原料,分别采用巴氏杀菌(pasteurization,PS)、超声波(ultrasound,US)、超高压(high-pressure processing,HPP)和微波(microwave sterilization,MS)处理方式进行杀菌,并测定其理化性质及挥发性物质含量。结果 与其他处理相比,HPP在保持石榴汁品质方面表现最优。PS处理导致红色值由16.82降至12.37,总色差高达4.82,颜色劣变显著,而HPP处理组色差值仅为1.77。HPP处理组的维生素C含量(22.18 mg/100 mL)远高于PS处理组(7.35 mg/100 mL),矢车菊素-3-O-葡萄糖苷和矢车菊素-3,5-O-双葡萄糖苷保留率分别达67.02%和66.20%,显著优于PS处理组。HPP能更好地保留醇、酯、萜烯类主体风味物质,而PS和MS处理显著促使不良呋喃类物质生成(PS组总呋喃含量54.22 μg/L,CK组0.28 μg/L)。结论 HPP在保持石榴汁色泽、维生素C、花青素等酚类及主体风味物质方面显著优于PS、US和MS处理,并能有效抑制不良风味(呋喃类物质)的产生。HPP是提升石榴汁品质极具前景的杀菌技术。
2026, 42(2):184-191. DOI: 10.13652/j.spjx.1003.5788.2025.81196
摘要:目的 探究以麦麸水提物稳定的高内相乳液(HIPEs)作为黄油替代物在蛋糕中的应用效果。方法 采用麦麸水提物稳定的高内相乳液按不同比例替代黄油制备蛋糕,并以纯大豆油组作为对照,系统测定蛋糕糊的黏度、相对密度及微观结构,并对产品的质构特性、水分分布、色泽、X射线衍射(XRD)图谱和风味特征进行综合分析。结果 随着高内相乳液替代比例的增加,蛋糕a*值升高、b*值降低,体积减小但气孔更均匀;硬度由2.72 N增至4.54 N,水分含量从11.92%升至17.53%,弱结合水比例上升;XRD显示淀粉重结晶受抑;电子鼻/电子舌表明风味无显著变化。结论 麦麸水提物稳定的高内相乳液可有效替代黄油,提升蛋糕的保水性、延缓老化,兼具营养与功能优势,具良好烘焙应用前景。
2026, 42(2):192-198. DOI: 10.13652/j.spjx.1003.5788.2025.80356
摘要:目的 提升鸭蛋腌制速率与品质。方法 应用真空高压脉动技术腌制鸭蛋,并与常压浸泡腌制(对照组)进行比较,探究腌制时间、高压幅值、真空保持时间和高压保持时间对咸鸭蛋含盐量、蛋黄指数和蛋黄出油率的影响。结果 在真空度90 kPa、腌制液为饱和食盐水(NaCl质量分数≥25%)条件下,最优工艺参数为脉动比(真空保持时间/高压保持时间)6 min/20 min、高压幅值110 kPa、腌制时间72 h,该条件下咸鸭蛋破损少且感官评价最佳,蛋清含盐量、蛋黄含盐量、h*、蛋黄指数和蛋黄出油率分别为5.05%、2.14%、79.42、0.89和17.27%,腌制速率较常压浸泡腌制提高近10倍。结论 相较于传统的常压浸泡腌制,真空高压脉动技术腌制能在缩短腌制时间的同时,显著提升咸鸭蛋品质(P<0.05)。
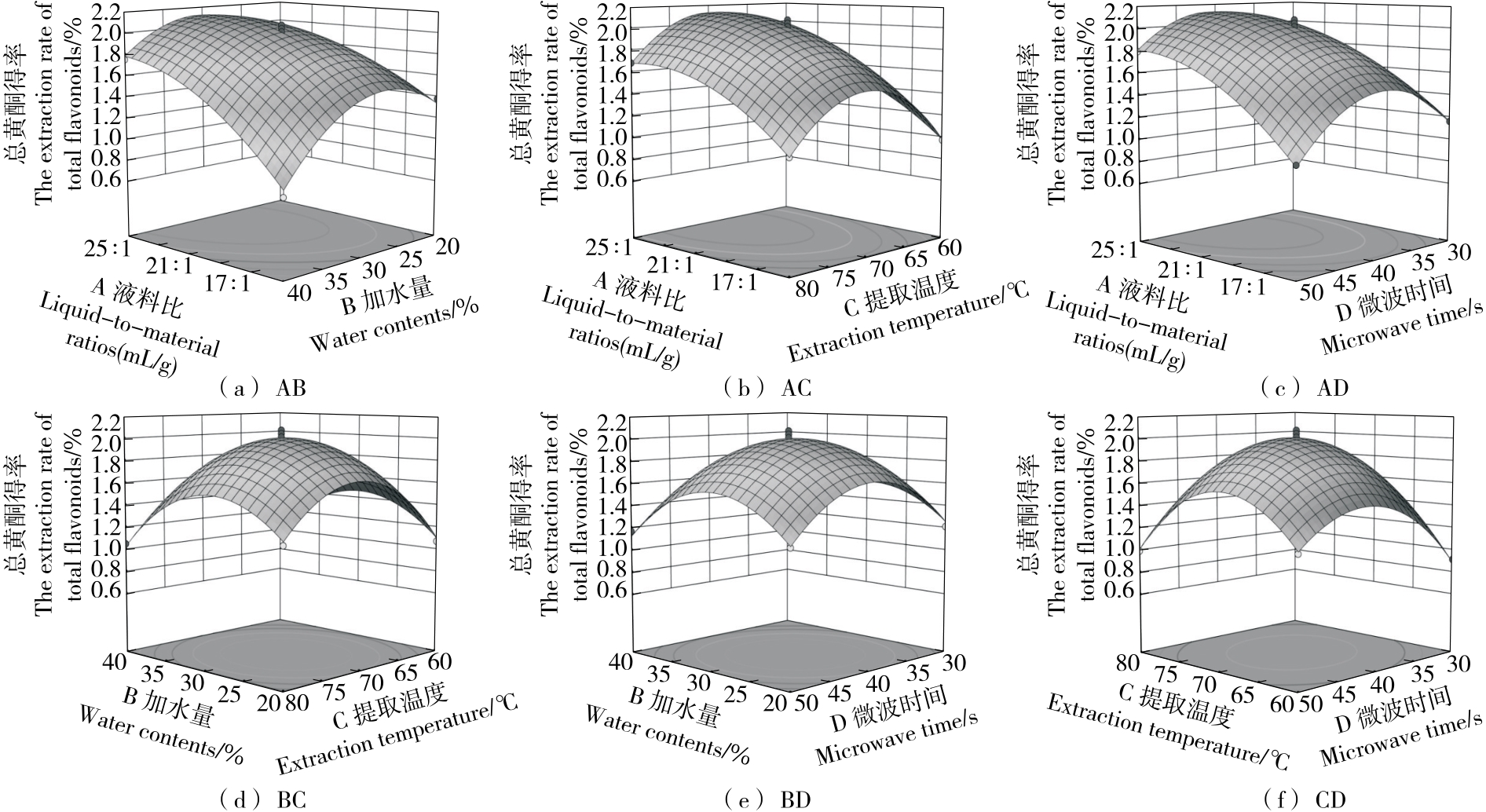
2026, 42(2):198-205. DOI: 10.13652/j.spjx.1003.5788.2025.80313
摘要:目的 以通过天然深共晶溶剂联合微波技术优化柚子皮总黄酮提取工艺。方法 分析3种天然深共晶溶剂(NADES)和传统提取剂联合微波提取柚子皮黄酮的能力,通过响应面法优化其提取工艺条件,并评估柚子皮提取物的抗氧化活性。结果 由氯化胆碱、苹果酸、乙二醇组成的NADES在液料比23∶1 (mL/g),加水量29%,提取温度73 ℃,微波时间40 s下具有最佳的总黄酮得率,为2.20%。最优工艺条件下,柚子皮总黄酮的DPPH自由基清除率为93.32%、羟自由基清除率为87.15%、还原力为0.57、金属离子螯合率为54.92%、脂质过氧化抑制率为29.78%。结论 天然深共晶溶剂联合微波提取柚子皮的黄酮提取率较高,且黄酮体外抗氧化活性较好。
2026, 42(2):206-215. DOI: 10.13652/j.spjx.1003.5788.2025.80392
摘要:鸡蛋的蛋清部分因蛋白含量高和食品功能特性优异,在食品加工领域被广泛应用。蛋清蛋白的两亲性结构和表面活性使其有效吸附于油水界面,降低界面张力并形成稳定的界面膜,从而在乳液体系中表现出良好的界面调控能力。文章系统介绍了蛋清蛋白多尺度乳液体系(纳米乳液、皮克林乳液和高内相皮克林乳液)的特征及其形成机制,总结了化学性修饰和物理性修饰对蛋清蛋白乳化性能的影响机制及其在调控蛋清蛋白乳化特性方面的研究进展。
2026, 42(2):216-224. DOI: 10.13652/j.spjx.1003.5788.2025.80265
摘要:2型糖尿病涉及多种病理机制,中医常利用黄连、黄芪等药食同源物质实现多靶点协同降糖。以这些药食同源药材为主要原料,开发代餐、零食与水饮等功能性降糖食品,成为2型糖尿病管理的创新策略。文章系统综述了功能性药食同源物质保护胰岛β细胞、提高胰岛素敏感性、抑制α-淀粉酶、调节脂质代谢和调控肠道菌群五类降糖机制,总结了现阶段较为成熟的功能性降糖产品及加工技术,并对其未来发展方向进行了展望。
2026, 42(2):225-233. DOI: 10.13652/j.spjx.1003.5788.2025.80284
摘要:黄皮果(Clausena lansium)是一种具有药食两用价值的水果,广泛分布于中国南方地区。其富含多糖、氨基酸、黄酮、酚类、生物碱和萜类等活性成分,具有抗氧化、抗肿瘤、抗炎和抑菌等多种药理功效。但黄皮果易腐烂、难保鲜。采用乙烯抑制剂、低温贮藏、涂膜、气调包装等保鲜技术可延长黄皮果的保鲜期。文章对黄皮果的主要活性成分、药理作用及其采后保鲜和食品加工利用方面的最新研究进展进行了综述,并对其未来发展方向进行了展望。
2026, 42(2):234-239. DOI: 10.13652/j.spjx.1003.5788.2025.80229
摘要:魔芋葡甘聚糖(konjac glucomannan,KGM)是一种具有安全性、可生物降解性、可食用的天然可溶性膳食纤维,被广泛应用于食品与生物医疗领域。KGM的可塑性差、稳定性低,通常需要通过共混改性、物理改性、化学改性来满足其生产需求,其中脱乙酰改性是目前KGM改性研究最为广泛的方法。目前,脱乙酰魔芋葡甘聚糖(DKGM)在食品领域主要用于食品添加剂、食品保鲜剂以及保健食品等方面。文章阐明了KGM在不同程度脱乙酰前后的特性变化以及脱乙酰后在食品工业中的应用进展和研究现状,并对其在食品中的未来发展趋势进行了展望。
2026, 42(2):240-248. DOI: 10.13652/j.spjx.1003.5788.2025.81197
摘要:二氧化硫(SO2)及其衍生物(SO
今日访问
您是本站第 访问者 
通信地址:湖南省长沙市天心区万家丽南路二段960号
电话:0731-85258200 E-mail:foodmm@ifoodmm.com 邮编:410114
技术支持:北京勤云科技发展有限公司
版权所有:食品与机械 ® 2026 版权所有

快速检索
友情链接