2025, 41(8):1-9. DOI: 10.13652/j.spjx.1003.5788.2025.80422
摘要:目的 鉴定和筛选具有幽门螺杆菌拮抗活性的乳酸菌菌株,解决目前抗生素耐药性逐年升高、幽门螺杆菌清除效果逐年下降的问题。方法 体外筛选具备抗幽能力的乳酸菌,探究优选菌安全性及益生特性,通过胃腺癌细胞系抗炎试验验证优选菌缓解幽门螺杆菌感染的效果。结果 优选菌对幽门螺杆菌的抑菌圈直径为15.44 mm,共聚集率为32.84%,抑制作用明显;基因注释及药敏试验结果表明,该优选菌安全性较高;细胞炎症试验结果显示,该优选菌最高能够缓解78.18%造模带来的IL-8分泌增加量。结论 该优选菌可抑制幽门螺杆菌生长,缓解胃部炎症,具有众多益生菌特性的同时具有低致病风险,为对抗幽门螺杆菌相关胃肠道疾病提供了新的益生菌候选菌株。
2025, 41(8):10-22. DOI: 10.13652/j.spjx.1003.5788.2025.60110
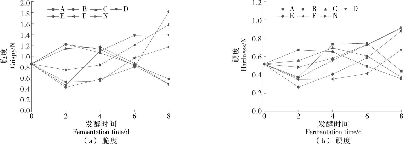
摘要:目的 探究发酵液中添加啤酒和乳酸钙溶液对二次发酵芥菜品质及挥发性风味物质的影响。方法 在脱盐芥菜坯接种乳酸菌的基础上分别添加原浆啤酒、熟啤,同时添加不同浓度的乳酸钙溶液,对二次发酵芥菜进行感官评价并测定发酵过程中的pH、总酸、亚硝酸盐、还原糖含量和发酵过程中的质构特性,采用固相微萃取气相色谱质谱联用法(SPME-GC-MS)对芥菜的挥发性风味成分进行比较分析。结果 添加啤酒可以改善二次发酵芥菜风味;二次发酵芥菜共检测出144种挥发性风味成分,主要为醇类、酯类和酸类物质,其中呈花香、果香和脂肪等柔和香气的醇类物质和酯类物质含量更高;添加乳酸钙溶液能显著提高二次发酵芥菜脆度和硬度。结论 二次发酵芥菜中添加啤酒和乳酸钙溶液不仅能增强发酵芥菜的挥发性风味物质,还能有效提高其脆度和硬度。
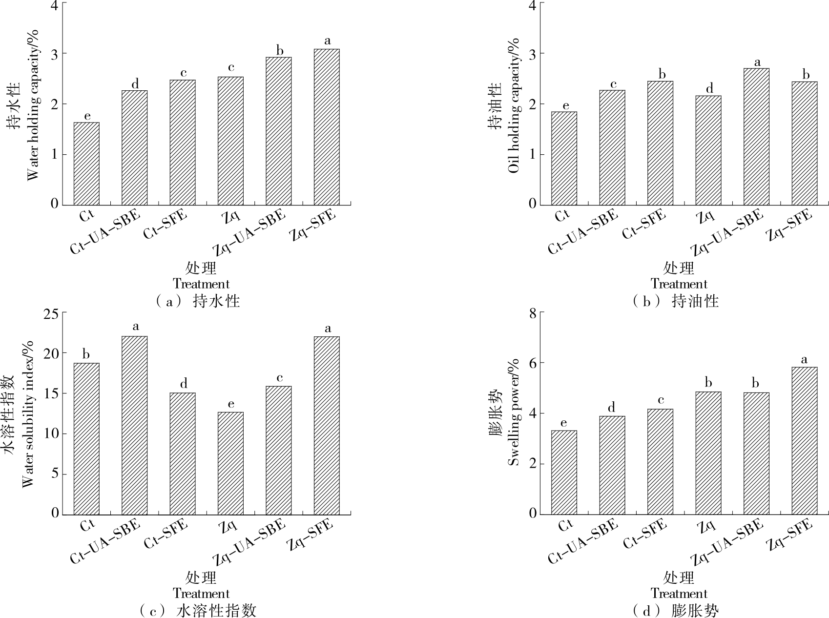
2025, 41(8):23-31. DOI: 10.13652/j.spjx.1003.5788.2025.80288
摘要:目的 探讨热处理方式(干热、微波、高温高压蒸汽)与高压脱脂工艺(超临界CO2萃取、超声辅助亚临界正丁烷萃取)对米糠品质的影响,提升米糠稳定性及其高值化利用潜力。方法 采用干热、微波、高温高压蒸汽处理对米糠进行预处理,并结合两种高压脱脂工艺,系统分析不同处理对米糠脂肪酶活性、贮藏稳定性及理化性质的影响。结果 高温高压蒸汽处理(121 ℃,20 min)显著降低了脂肪酶活性(降至19.87 mg/g),有效抑制了30 d贮藏期间游离脂肪酸的积累,稳定化效果优于干热与微波处理。超临界CO2萃取的出油效率达到97.73%,优于超声辅助亚临界正丁烷萃取,并显著提升了米糠的持水性(3.08 g/g)、膨胀势(5.82 g/g)和水溶性指数。结论 高温高压蒸汽处理联合超临界CO2萃取可显著改善米糠的贮藏稳定性和功能特性。
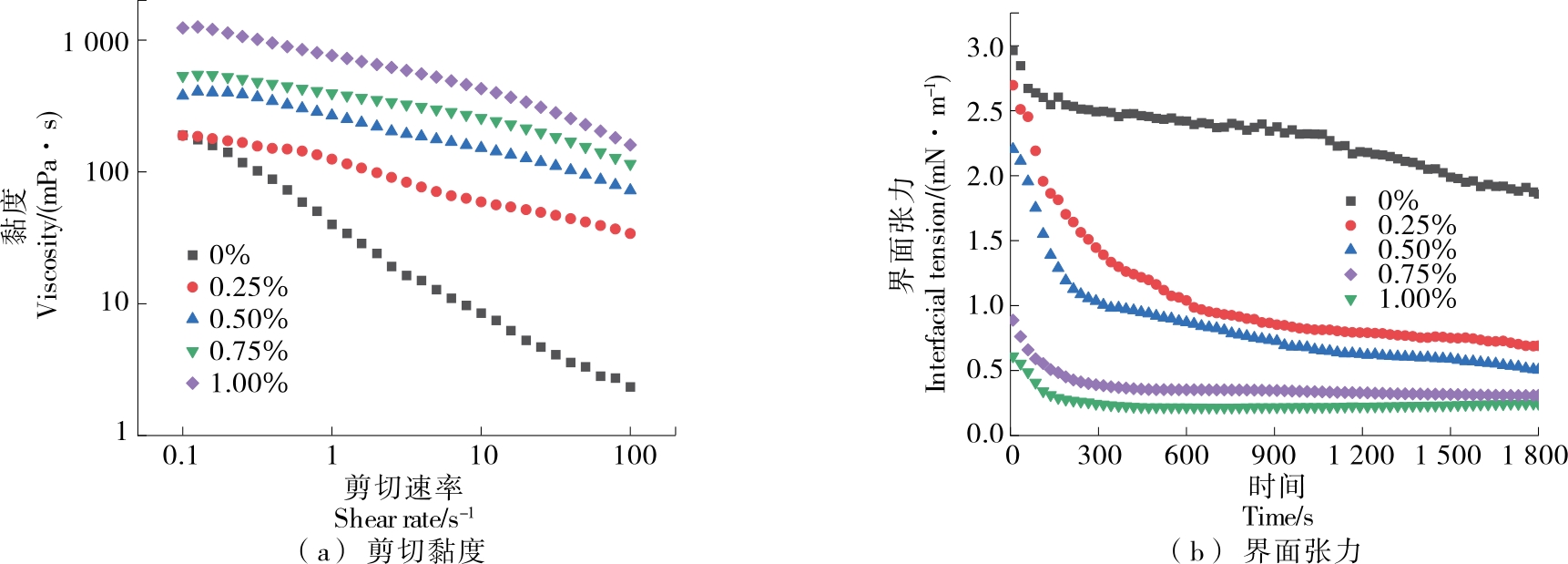
2025, 41(8):32-38. DOI: 10.13652/j.spjx.1003.5788.2024.81292
摘要:目的 改善薄荷醇易挥发、水不溶的缺陷。方法 采用不同浓度的结冷胶(0~1%)和分离乳清蛋白制备包埋薄荷醇的水包油乳液,考察结冷胶浓度对乳液微观结构、粒径电位、薄荷醇包封率和界面流变性质的影响,分析结冷胶对薄荷醇水包油乳液的pH稳定性、离心稳定性和贮藏稳定性的改善作用。结果 结冷胶在乳液液滴表面吸附,并在水相中形成三维网络,导致乳液粒径增大与薄荷醇包封率提高。同时,结冷胶导致乳液黏度提高和界面张力下降,并呈现量效关系。稳定性分析显示,添加0.75%结冷胶的乳液具有良好的乳液稳定性、最低的离心不稳定指数(趋近于0)和最高的薄荷醇贮藏保留率[(92.8±0.34)%]。结论 结冷胶能够有效改善薄荷醇水包油乳液的稳定性。
2025, 41(8):39-45. DOI: 10.13652/j.spjx.1003.5788.2025.60053
摘要:目的 构建重组工程菌表达抗菌肽Plectasin,优化重组工程菌的高密度发酵条件,并对优化生产所得重组抗菌肽进行抑菌活性研究。方法 为提高目的蛋白可溶性表达,依据原核表达系统的密码子偏爱性优化合成plectasin基因,切除信号肽部分,选择pET32a(+)表达载体,构建重组质粒pET32a-plectasin,导入大肠杆菌(Escherichia coli)感受态细胞BL21(DE3)/pLysS。设计单因素试验和正交试验对重组工程菌的20 L高密度发酵参数进行优化。对优化条件后生产获得Plectasin进行纯化鉴定并对其抑菌活性进行分析。结果 研究成功构建E.coli BL21(DE3)pLysS/pET32a-plectasin表达菌株,优化后20 L高密度发酵工艺条件为:诱导温度30 ℃,接种量2%。发酵时长15 h,纯化后重组蛋白质量浓度为(0.62±0.02) g/L。表达产物对金黄色葡萄球菌(Staphylococcus aureus,ATCC 25923)的最小抑菌质量浓度为32 μg/mL。结论 通过优化原核表达高密度发酵条件提高了重组Plectasin的可溶性表达产量,发酵产物对金黄色葡萄球菌表现出一定的抑菌活性。
2025, 41(8):46-53. DOI: 10.13652/j.spjx.1003.5788.2024.80251
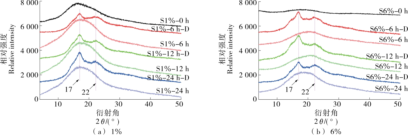
摘要:目的 探究普鲁兰酶处理对蜡质玉米淀粉结构与功能的影响。方法 通过扫描电镜、X射线衍射、相对分子质量及其分布、表观直链淀粉含量以及消化性能等测试方法,系统考察了普鲁兰酶处理对蜡质玉米淀粉结构与功能特性的影响。结果 与未经普鲁兰酶处理的淀粉相比,不同质量分数淀粉溶液经过普鲁兰酶处理后,均重排形成含有B型结晶的相对有序聚集态结构且相对结晶度从2.70%增加至22.67%;抗性淀粉含量从12.41%增加至39.25%。结论 普鲁兰酶处理对蜡质玉米淀粉结构与功能特性有显著影响,不同质量分数淀粉溶液经过普鲁兰酶处理后,相比于低质量分数溶液中的淀粉,高质量分数溶液中的淀粉在酶解过程中更容易聚集并重排形成有序聚集体,延缓普鲁兰酶对淀粉的催化作用,使得高质量分数溶液中淀粉的相对分子质量较大。
2025, 41(8):54-60. DOI: 10.13652/j.spjx.1003.5788.2025.80125
摘要:目的 建立微波消解电感耦合等离子体质谱法(inductively coupled plasma-mass spectrometry,ICP-MS)测定茵陈中22种矿质元素的分析方法,研究其矿质元素的含量、分布情况,分析其食用安全性。方法 采用ICP-MS方法对河南18个地区茵陈中B、Na、Mg、Al、K、Ca、Ti、V、Cr、Mn、Fe、Co、Ni、Cu、Zn、As、Sr、Mo、Cd、Ba、Pb、Hg 22种元素含量进行测定和分析,并采用SPSS进行主成分分析和聚类分析进一步分析特征元素和产地聚类。结果 22种元素线性回归方程相关系数均大于0.999 0,检出限为0.005~3.729 μg/L,回收率为96.4%~105.2%,相对标准偏差为1.17%~2.35%;茵陈中含有大量的矿质元素,尤其以K(8 160.81 mg/kg)、Mg(751.24 mg/kg)和Ca(499.69 mg/kg)含量最高;Pb、As、Hg、Cd、Cr含量均符合《中华人民共和国药典》的规定;As、Hg含量均远远小于GB 2762—2022《食品安全国家标准 食品中污染物限量》中新鲜叶类蔬菜的重金属含量要求,Pb、Cd含量略有超标,Cr指标超标较为严重;主成分分析结果显示,前4个主成分的累计贡献率达84.41%;聚类分析将18个地区茵陈聚为3类。结论 不同产地茵陈中矿质元素有明显地域差别,V、Fe、Co、Mg、Al、Ti、Ni、B、Mo、Ca、Zn为其特征元素;茵陈作为药用时,安全性较高,但作为叶类蔬菜食用时,存在一定安全性风险。
2025, 41(8):61-65. DOI: 10.13652/j.spjx.1003.5788.2024.80939
摘要:目的 建立一种新的Sin-QuEChERS Nano-三重四极杆液质联用仪(UPLC-MS/MS)检测大米中甲氨基阿维菌素苯甲酸盐(甲维盐)残留的方法。方法 样品经0.1%甲酸—乙腈提取后,N-丙基乙二胺(PSA)和多壁碳纳米管(MWCNTs)填料净化,以0.1%甲酸水和乙腈为流动相梯度洗脱,经C18色谱柱分离,采用三重四极杆液质联用仪测定。结果 甲维盐的定量限为0.001 5 mg/kg,方法检出限为0.000 5 mg/kg。甲维盐在1~100 ng/mL质量浓度范围内呈良好的线性关系,相关系数>0.999 5。在2,10,50 μg/kg添加水平下,甲维盐的平均回收率为86.9%~110.2%,相对标准偏差为0.98%~7.21%。结论 该方法高效简便、稳定性好、灵敏度高,适用于大米中甲维盐的检测。
2025, 41(8):66-69. DOI: 10.13652/j.spjx.1003.5788.2025.60077
摘要:中国对于生产、销售有毒有害食品的刑事治理已经取得了明显成效,但仍面临“有毒、有害的非食品原料”概念认定模糊、行为主体的责任界定不够清晰、类似罪名的区分度较低等多重难题。从明确“有毒、有害的非食品原料”认定标准,规定行为主体的刑事责任、确立类似罪名的识别要素等不同维度,对中国生产、销售有毒有害食品的刑事治理进行了优化与重构。
2025, 41(8):70-76. DOI: 10.13652/j.spjx.1003.5788.2024.81049
摘要:目的 解决食品农药残留检测中多样样品前处理自动化的技术难题。方法 设计基于视觉反馈的机器人控制模块,控制机械臂对目标物的抓取及移动底盘移动。根据前处理任务节点需求,对各节点进行硬件设计,构建自动化工作站,并采用PLC作为主控制器,控制各工作站的运动。根据多样样品前处理需求,设计前处理过程管理模块,实现前处理方案配置与过程监控等功能。结果 开发了一套基于协作机器人的食品农药残留检测前处理系统。结论 该系统能够按照设定的前处理方案以较高的成功率完成前处理任务,且试验结果的回收率及精密度均符合GB 5009.295—2023的要求。
2025, 41(8):77-84. DOI: 10.13652/j.spjx.1003.5788.2025.60081
摘要:目的 提高现有食品生产线核桃仁分选的效率和精度。方法 基于核桃仁分拣的智能化生产线,提出一种改进的EfficientDet模型用于食品生产线核桃仁智能化分选。通过在主干网络引入卷积注意力机制模块,强化模型对食品区域的聚焦能力。通过改进双向特征金字塔网络,增强模型对不同尺度食品的检测能力。通过Dynamic ReLU激活函数对原激活函数进行优化,增强模型对食品的检测性能,并将优化后的模型部署于食品生产线进行试验验证。结果 试验方法在核桃仁分选任务中实现对正常、碎壳、黑斑和干瘪核桃仁的精准识别与高效分类,单张图像检测时间为18 ms,平均精度均值达到97.92%,误检率降至1.0%,可有效提高食品生产线自动化水平。结论 该智能化分选方法有效解决了传统分选效率低和精度差的问题,在食品生产线自动化领域具有良好的应用前景与推广价值。
2025, 41(8):85-92. DOI: 10.13652/j.spjx.1003.5788.2025.60098
摘要:目的 针对SCARA高速并联机器人在食品分拣过程中运行冲击与能耗难以兼顾的问题,通过轨迹优化方法提升其综合性能,满足食品分拣场景对平稳、低耗的实际需求。方法 在对整个食品分拣系统进行分析的基础上,提出了一种结合改进非均匀五次B样条和多目标模型的SCARA高速并联机器人食品分拣轨迹优化方法。通过始末路径引入虚拟路径点优化非均匀五次B样条插值方法构建SCARA高速并联机器人食品分拣轨迹,以运行冲击和运行能耗综合最优为多目标轨迹优化模型,通过外部档案、全局最优粒子、惯性权重优化的多目标粒子群算法求解模型,完成SCARA高速并联机器人轨迹优化。通过试验对所提轨迹优化方法的运行冲击和能耗进行分析。结果 所提轨迹优化方法可有效实现SCARA高速并联机器人食品分拣过程中运行冲击与能耗的综合优化,轨迹平滑性与算法求解性能均得到显著提升。与优化前相比,运行冲击和运行能耗降低50%以上,不同分拣速度下的误差未超过1 mm。结论 通过结合改进非均匀五次B样条与多目标模型的轨迹优化方法,可实现机器人在食品分拣过程中运行冲击和能耗的综合最优。
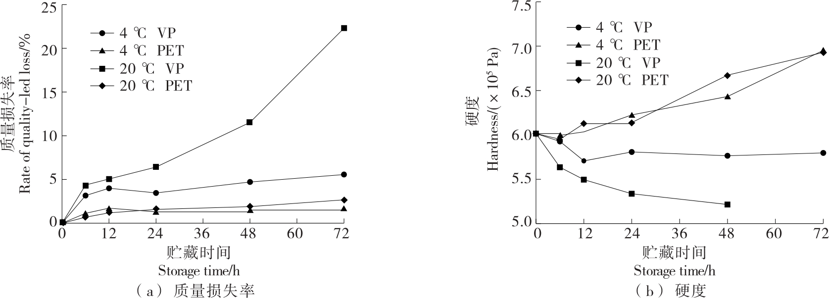
2025, 41(8):93-99. DOI: 10.13652/j.spjx.1003.5788.2024.81093
摘要:目的 获得鲜切马铃薯最佳保鲜工艺。方法 以荷兰15号马铃薯为研究对象,通过测定质量损失率、硬度及外观色泽变化等参数,评价了真空包装(VP)和常压PET包装的鲜切马铃薯分别在4,20 ℃下贮藏72 h后的品质。研究了不同质量浓度抗坏血酸(ascorbic acid,AsA)浸泡处理对鲜切马铃薯的保鲜效果。最后采用VP与0.5 g/100 mL AsA协同处理,评估二者联合作用对鲜切马铃薯的保鲜效果。结果 VP结合4 ℃贮藏能较好地维持鲜切马铃薯的硬度,延缓亮度值和总色差的下降,降低贮藏期间的质量损失率。0.5 g/100 mL AsA处理对延缓鲜切马铃薯褐变的效果显著。VP协同0.5 g/100 mL AsA处理的鲜切马铃薯在4 ℃下贮藏时,质量损失率最低且色泽保持最佳。结论 鲜切马铃薯最佳保鲜工艺为0.5 g/100 mL AsA协同真空包装(VP-AsA)处理后置于4 ℃下贮藏。
2025, 41(8):100-108. DOI: 10.13652/j.spjx.1003.5788.2025.60032
摘要:目的 提高苹果缺陷和分类准确率。方法 提出一种基于改进YOLOv7-tiny的苹果缺陷识别方法。设计了多角度图像采集系统,对苹果表面进行采样和增强;利用YOLOv7-tiny网络提取苹果特征;通过改进模糊C均值聚类(IFCM)算法对提取的特征进行降维压缩;采用改进浣熊优化算法(ICOA)自动优化YOLOv7模型的超参数。对比分析不同分辨率、批量大小下,所提方法与ResNet+FPN、YOLOv5s、PP-YOLOE等方法的苹果缺陷识别与分类性能。结果 所提方法在样本分辨率224像素×224像素时检测准确率可达98.6%,召回率达97.9%,单张图像平均检测时间仅50 ms左右,显著优于所对比方法。结论 该系统具备高精度和实时性,能够有效提高苹果分类效率和质量,对水果自动分拣具有重要工程意义。
2025, 41(8):109-117. DOI: 10.13652/j.spjx.1003.5788.2025.60056
摘要:目的 提高食品生产中番茄无损检测方法的检测精度和效率。方法 基于番茄自动化分拣系统,提出一种融合机器视觉、多尺度残差注意力U-Net模型、改进鲸鱼优化算法和最小二乘支持向量机的番茄综合品质检测方法。通过机器视觉采集番茄图像信息;通过多尺度残差注意力U-Net模型对番茄图像进行分割,完成番茄果径参数测量;通过混沌映射和自适应收敛因子优化的鲸鱼优化算法对最小二乘支持向量机模型参数进行寻优,完成番茄硬度和番茄红素含量检测,并进行验证试验。结果 试验方法可以实现番茄综合品质的准确、快速和无损检测。在番茄果径、硬度和番茄红素检测中均取得了较优的决定系数、均方根误差和平均检测时间,决定系数>0.960 0,均方根误差<0.012 5,平均检测时间<0.032 s。结论 结合机器视觉、深度学习和智能算法可以实现番茄综合品质的准确、快速和无损检测。
2025, 41(8):118-125. DOI: 10.13652/j.spjx.1003.5788.2025.80607
摘要:目的 探究鼠李糖乳酪杆菌CCFM1070和唾液联合乳杆菌CCFM1215的复合益生菌压片糖果对早期儿童龋齿(ECC)患者口腔中变异链球菌(Streptococcus mutans)及微生物群落结构的影响。方法 纳入43例ECC患者,随机分为益生菌组(n=21)与安慰剂组(n=22)。常规牙科治疗后进行4周干预。通过定量PCR(qPCR)和16S rRNA测序技术系统分析基线期(第0天)和干预结束(第28天)时唾液及牙菌斑微生物的动态变化。结果 干预后,益生菌组唾液和牙菌斑中变异链球菌含量分别从0.78,0.97 lg(DNA拷贝数/ng)显著降至0.71(P<0.01)和0.90 lg(DNA拷贝数/ng)(P<0.05),降幅显著高于安慰剂组。微生物组分析显示,益生菌干预可显著降低Streptococcus等致龋菌属的相对丰度,同时提升Fusobacterium等共生菌属的相对丰度,优化ECC患者口腔微生物结构并增加群落丰富度,有效改善口腔健康。结论 复合益生菌压片糖果可通过抑制致龋菌增殖、富集共生菌群,重塑口腔微生物群落稳态,从而改善龋齿进展。
2025, 41(8):126-134. DOI: 10.13652/j.spjx.1003.5788.2025.80303
摘要:目的 分析虾壳活性肽(PCSBP)对中华鳖生长性能、肌肉抗氧化能力和昼夜节律相关基因表达的影响。方法 通过在日粮中添加不同浓度(0.05%,0.10%,0.20%,0.50%)的PCSBP饲喂中华鳖70 d,测定其生长指标、肌肉抗氧化性能以及昼夜节律相关基因的表达水平,初步探究PCSBP对中华鳖肌肉抗氧化能力和昼夜节律的调控作用。结果 随着日粮中PCSBP浓度的增加,中华鳖的终末体重、增重率和特定生长率呈显著升高趋势,并降低了饲料转化率。中华鳖肌肉总超氧化物歧化酶(T-SOD)、过氧化氢酶(CAT)和谷胱甘肽过氧化物酶(GSH-PX)活性随着PCSBP浓度的升高呈显著升高趋势;同时,PCSBP显著上调抗氧化关键信号分子nrf2、keap1基因表达,并激活抗氧化酶基因sod1、sod2、cat、gpx1、gpx2、gpx4、gstk1、gstz1表达。此外,PCSBP显著调节昼夜节律核心基因bmal1、clock、nr1d2、per1、per2、cry1、cry2、npas2的表达,且在PCSBP介导下抗氧化信号通路nrf2-keap1与昼夜节律核心基因表达存在显著相关性,与bmal1、clock、per2、cry1、cry2、aanat的表达呈显著正相关,与npas2、rora、rorc的表达呈显著负相关。结论 PCSBP对中华鳖肌肉抗氧化能力和昼夜节律具有调控作用,可有效增强机体的抗氧化应激能力。
2025, 41(8):135-142. DOI: 10.13652/j.spjx.1003.5788.2024.81184
摘要:目的 研究海带多糖的抗衰老作用。方法 以海带为材料,采用稀酸辅助提取法制备海带多糖。通过衰老秀丽隐杆线虫模型,分析线虫体内脂褐素、活性氧、抗氧化能力及衰老相关基因表达的影响,评估海带多糖对线虫寿命、运动和应激能力的影响。结果 与对照组相比,不同质量浓度酸提海带多糖均能显著延长线虫的寿命,增强线虫运动和应激能力,明显降低线虫体内脂褐素、ROS含量,提高过氧化氢酶和超氧化物歧化酶活力;同时,海带多糖能够激活skn-1、daf-2、age-1、akt-1、daf-16 mRNA的表达,上调其下游因子mRNA的表达,延长线虫的寿命。结论 海带多糖能通过增加线虫抗氧化能力和调节IIS信号通路来达到延长寿命的作用。
2025, 41(8):143-148. DOI: 10.13652/j.spjx.1003.5788.2025.80395
摘要:目的 探究原花青素B2(PB2)通过多靶点干预炎症与胰岛素抵抗(IR)的作用机制。方法 通过体外抗氧化试验评估PB2的糖尿病预防潜力,并利用分子生物学技术揭示PB2对NF-κB炎症信号通路在IR进展中的调控作用。结果 PB2通过清除自由基显著降低HepG2细胞的ROS水平,并抑制炎症因子IL-6、IL-1β及TNF-α的表达。PB2通过抑制JNK/NF-κB信号级联,阻断过多ROS生成,从而恢复细胞内氧化还原稳态,最终改善胰岛素抵抗。结论 PB2可通过调控氧化还原平衡与炎症信号通路,调控糖代谢并拮抗炎症反应。
2025, 41(8):149-154. DOI: 10.13652/j.spjx.1003.5788.2025.60087
摘要:目的 探究不同工艺对橡实粉多酚功能活性的影响。方法 以橡子、青冈、苦槠3种橡实为原料,分别采用水洗法、酶解法制备橡实粉,并从橡实粉中提取多酚,比较了不同工艺橡实粉多酚提取物的自由基清除活性、脂肪氧合酶(LOX)抑制活性、环氧化酶-2(COX-2)抑制活性及抗肠炎活性。结果 橡实粉多酚提取物具有较高的自由基清除活性,对LOX、COX-2、果蝇肠炎均有较好的抑制活性。酶法橡实粉的多酚提取物的抗炎效果最好,特别是酶法苦槠粉多酚提取物的LOX、COX-2、果蝇肠炎的抑制率最高,分别为(95.54±0.31)%,(80.62±1.49)%,(74.36±11.70)%。结论 与水洗法橡实粉的多酚提取物相比,酶法橡实粉的抗氧化效果和抗肠炎效果更强。
2025, 41(8):155-163. DOI: 10.13652/j.spjx.1003.5788.2025.80463
摘要:目的 优化藤茶制备关键工艺条件,并确认其成品的风味特征。方法 以藤茶样品黄酮含量与感官评分为评价指标,通过单因素试验与响应面试验分析藤茶杀青时间、杀青功率、发酵时间与发酵温度对藤茶品质的影响,采用顶空固相微萃取—气相色谱—质谱联用技术(HS-SPME-GC-MS)法对优化工艺样品中的挥发性香气成分进行检测。结果 微波杀青最佳工艺条件为杀青时间16 min、功率490 W、发酵时间7.8 h、温度40 ℃。从藤茶成品中共鉴定出53种挥发性成分,包括19种烷类、13种烯类、3种醇类、6种醛类、1种酮类、5种酯类、1种酚类和5种环状化合物(萘、呋喃、苯),其中烷烃类(33.40%)、烯烃类(30.27%)、醛类(11.24%)和酯类(10.57%)物质相对含量较高。结论 优化后的工艺条件可以在降低黄酮分解的同时保证藤茶的品质。
2025, 41(8):164-171. DOI: 10.13652/j.spjx.1003.5788.2025.80220
摘要:目的 改善Lactiplantibacillus plantarum深层发酵合成γ-氨基丁酸(GABA)的效率。方法 以全细胞谷氨酸脱羧酶(GAD)活力为评价指标,通过对发酵条件和培养基进行系统考察,优化产GAD条件,并以产GAD条件为基础确立GABA发酵工艺。结果 Lpb. plantarum Y-2产GAD的最适发酵条件为30 ℃静置培养48 h;适宜培养基为改良MRS(MMRS)培养基,其组成为蛋白胨10 g/L、牛肉膏10 g/L、酵母膏5 g/L、蔗糖10 g/L、吐温80 1.0 g/L、CH3COONa 4.8 g/L、MnSO4 0.03 g/L、L-谷氨酸钠8 g/L,pH 6.5。在该条件下,每升发酵液的全细胞GAD活力为(83.42±4.37) U,较MRS培养基提高了(88.48±9.87)%。以MMRS发酵合成GABA的产量为(2.27±0.12) g/L,较MRS的GABA产量提高了(118.27±11.09)%。结论 通过优化产GAD条件改进GABA发酵工艺可以提高GABA产量。
2025, 41(8):172-179. DOI: 10.13652/j.spjx.1003.5788.2024.81240
摘要:目的 以传统工艺酿制的苦荞熏醅为原料,采用陈皮浸提液进行淋制而制得苦荞陈皮醋,并优化其淋醋工艺。方法 以总酸、黄酮、多酚含量为指标,通过淋醋料液比、淋醋温度、浸醅时间3个单因素及响应面优化试验确定最佳淋醋工艺,并分析其抗氧化性能。结果 苦荞陈皮醋的最佳淋醋工艺为料液比1∶1.5 (g/mL),浸醅时间4 h、浸醅温度80 ℃,在此条件下制得的苦荞陈皮总酸含量为3.72 g/100 mL,黄酮含量为706.4 mg/100 g,多酚含量为741.5 mg/100 g,1.2 mL的抗氧化能力与0.2% 维生素C的相当。结论 最佳淋醋工艺条件下制得的苦荞陈皮醋可以最大限度提高其总酸、黄酮含量,且具有良好的抗氧化活性。
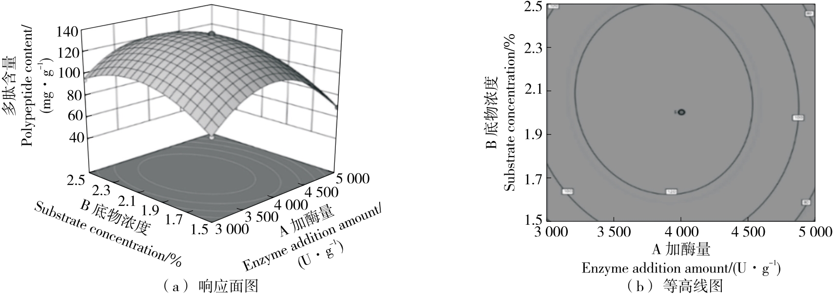
2025, 41(8):180-187. DOI: 10.13652/j.spjx.1003.5788.2025.60059
摘要:目的 利用响应面法优化赤小豆多肽制备工艺,并分析其体外降血糖活性。方法 从3种蛋白酶中筛选最适酶,采用单因素及响应面试验优化最佳酶解工艺;将酶解多肽液进行超滤分离,并比较不同组分的降糖活性。结果 最佳赤小豆多肽制备工艺条件为碱性蛋白酶添加量3 860 U/g、底物浓度2.0%、pH 8.0、酶解时间3 h、酶解温度60 ℃,此时多肽含量为135 mg/g。酶解多肽液经超滤分离,F1(相对分子质量<3 000)组分的体外降糖活性最高,10 mg/mL质量浓度下α-葡萄糖苷酶和α-淀粉酶抑制率分别为79.1%,81.0%。结论 采用碱性蛋白酶酶解制备的赤小豆多肽展现出显著的体外降血糖效果。
2025, 41(8):188-196. DOI: 10.13652/j.spjx.1003.5788.2025.80082
摘要:目的 以地涌金莲为原料,研究其多糖提取工艺及体外活性。方法 采用超声辅助离子液体为提取法,以多糖提取量为指标,运用单因素和响应面优化法研究多糖的提取工艺,并对多糖的体外抗氧化性、单糖成分、胰脂肪酶和α-淀粉酶抑制活性进行研究。结果 地涌金莲多糖最佳提取工艺为:提取功率200 W,离子液体体积1.80 mL,超声时间32 min,料液比1∶36 (g/mL),超声温度37 ℃,多糖提取量为(32.20±0.68) mg/g。HPLC对纯化后多糖测定表明,多糖的单糖成分包括甘露糖、核糖、鼠李糖、葡萄糖醛酸、半乳糖醛酸、葡萄糖、半乳糖、木糖和阿拉伯糖,n甘露糖∶n核糖∶n鼠李糖∶n葡萄糖醛酸∶n半乳糖醛酸∶n葡萄糖∶n半乳糖∶n木糖∶n阿拉伯糖=1.26∶6.37∶4.29∶0.86∶0.72∶22.35∶0.21∶2.46∶0.18。多糖对DPPH·、·OH、ABTS+·、O
2025, 41(8):197-205. DOI: 10.13652/j.spjx.1003.5788.2025.80136
摘要:水产品作为人体重要的营养来源,其安全性因致病菌污染问题备受关注。副溶血性弧菌、沙门氏菌、单增李斯特菌、大肠埃希氏菌、金黄色葡萄球菌及志贺氏菌等致病菌易通过水体或加工环节交叉感染侵入水产品,引发食源性疾病并造成经济损失。文章综述了水产品中主要致病菌的污染途径及其危害,并总结了传统检测技术(包括选择性培养基和平板计数)与新兴检测技术(如环介导等温扩增、重组酶聚合酶扩增等)的特点及其应用情况。
2025, 41(8):206-214. DOI: 10.13652/j.spjx.1003.5788.2025.60152
摘要:合理的膳食干预是缓解运动疲劳的有效途径。芸豆因其高蛋白含量和丰富的生物活性成分,在运动恢复领域展现出巨大的开发潜力。文章综述了芸豆的营养成分及主要活性成分,分析了人体运动过程中的生理变化,阐述了芸豆对运动生理变化的影响,以及对缓解运动疲劳的有益效果,并展望了芸豆在运动营养领域的未来应用和研究方向。
2025, 41(8):215-224. DOI: 10.13652/j.spjx.1003.5788.2025.60092
摘要:随着葡萄酒产业发展与消费者对品质感知的提升,传统依赖经验的感官评价方法因主观性强、标准化难等问题受到挑战,基于多模态感官数据融合与人工智能建模的评价体系成为风味评价新趋势。文章综述了电子鼻、电子舌、近红外光谱、图像识别及色谱质谱联用等感官数据采集技术,系统分析了早期融合、中期融合与晚期融合等多模态数据融合策略在风味建模中的应用特点,探讨了AI算法在葡萄酒风味识别与品质预测中的优势。指出当前该领域仍存在数据异构整合难、模型泛化能力弱、感官语言体系标准化不足等问题,并展望了基于用户偏好的智能评价、标准化风味图谱构建,以及实时检测平台开发等未来研究方向。
2025, 41(8):225-235. DOI: 10.13652/j.spjx.1003.5788.2025.80405
摘要:杂环胺类化合物(heterocyclic amines,HCAs)是在食品热加工过程中产生的一类有害物质,具有致突变性和致癌性,能够增加人类罹患多种癌症的风险。因此,长期以来,有效抑制杂环胺的生成一直是食品科学领域的研究热点。聚焦于近5年的研究成果,系统分析了多酚类化合物及富含多酚的植物提取物和香辛料等物质对杂环胺生成的影响,以及这些物质对杂环胺生成的调控机制,并对多酚类化合物在杂环胺减控领域的未来发展方向进行了展望。
2025, 41(8):236-241. DOI: 10.13652/j.spjx.1003.5788.2025.60150
摘要:目的 探讨包装尺寸这一视觉线索是否会影响消费者对产品味道的感知、吸引力和购买意愿。方法 采用独立样本t检验与双因素方差分析验证包装尺寸与食品种类之间的显著交互作用。结果 小包装食品在味道感知强度、吸引力及购买意愿3个维度上均显著优于大包装食品。此外,包装尺寸与食品种类之间存在显著交互作用。结论 包装尺寸是一种能显著影响消费者心理预期的视觉变量。小包装可显著增强消费者对食品味道的感知强度,尤其是在味道刺激的食品中更为显著。同时,小包装食品也获得了更高的吸引力和购买意愿评分,强调了包装尺寸在消费者心理预期形成中的关键作用,并扩展了跨模态感知理论在包装设计领域的应用。
2025, 41(8):242-248. DOI: 10.13652/j.spjx.1003.5788.2025.60153
摘要:食品包装版式设计作为视觉传达的核心要素,直接影响消费者的购买决策。基于2020—2025年Pentawards、Dieline Award、红点、iF等国际设计奖项的食品包装获奖作品,分析了食品包装版式设计趋势主要包含动态平衡的布局结构、信息降噪的视觉层级、功能与文化并重的字体应用、自然与数字融合的色彩策略等。通过深入分析上述趋势背后的形成动因并提炼其设计启示,探讨了兼具理论支撑与实证依据的设计方法,最终为设计师与品牌方的创新决策提供明确、有效的实践指导。
今日访问
您是本站第 访问者 
通信地址:湖南省长沙市天心区万家丽南路二段960号
电话:0731-85258200 E-mail:foodmm@ifoodmm.com 邮编:410114
技术支持:北京勤云科技发展有限公司
版权所有:食品与机械 ® 2026 版权所有

快速检索
友情链接