• 2025年第7期文章目次
    全 选
    显示方式: |
    • >基础研究
    • 光谱法联合分子对接研究邻苯二甲酸二乙酯与卵白蛋白的相互作用

      2025, 41(7):1-8. DOI: 10.13652/j.spjx.1003.5788.2025.80427

      摘要 (232) HTML (114) PDF 0.00 Byte (324) 评论 (0) 收藏

      摘要:目的 运用多光谱分析和分子对接技术探究邻苯二甲酸二乙酯(DEP)与卵白蛋白(OVA)的相互作用机理。方法 利用Stern-Volmer方程,研究DEP对OVA的荧光猝灭机理及两者之间的结合常数与结合位点数,并通过热力学参数确定二者相互作用的主要作用力类型,根据F?rster非辐射能量转移理论,得出二者之间的能量转移效率和结合距离。利用分子对接考察了DEP与OVA之间的相互作用力。结果 DEP可静态猝灭OVA内源荧光。25~45 ℃时,结合常数(K)由2.631×108 L/mol降至1.072×108 L/mol,DEP与OVA之间有1~2个主要结合位点。热力学分析表明,二者通过静电作用自发结合。荧光共振能量转移参数(J=1.316×10-13 cm3·L/mol,R0=3.665 nm,E=0.735,r=3.091 nm)证实其强结合。紫外—可见光谱分析表明,DEP与OVA结合形成基态复合物。分子对接模拟显示,DEP与OVA通过氢键、范德华力及疏水作用结合,形成的复合物结构稳定。结论 DEP可静态猝灭OVA内源荧光,二者通过静电作用自发形成1~2个结合位点的稳定基态复合物,结合距离为3.091 nm,能量转移效率为0.735。复合物结构稳定性主要由氢键、范德华力及疏水作用维持。

      • 0+1
      • 1+1
      • 2+1
      • 3+1
      • 4+1
      • 5+1
      • 6+1
    • 芦丁—酪蛋白复合物的制备及特性研究

      2025, 41(7):9-17. DOI: 10.13652/j.spjx.1003.5788.2024.81113

      摘要 (172) HTML (131) PDF 0.00 Byte (308) 评论 (0) 收藏

      摘要:目的 研究蛋白质和多酚相互作用形成的复合物对多酚和蛋白质的生物利用度的影响。方法 以芦丁和酪蛋白为原料,制备芦丁—酪蛋白复合物,并分析其理化性质和结构特性。结果 芦丁—酪蛋白复合物的最佳制备工艺条件为m芦丁m酪蛋白=1.89∶1.00、反应时间5.94 h,pH 8.5,反应温度50 ℃,此条件下复合物结合度为40.23%。与酪蛋白相比,复合物的乳化活性指数降低了8.47 m2/g,乳化稳定性降低了9.39%,溶解性增加了5.11%,表面疏水性显著提高,抗氧化性显著升高(P<0.05)。扫描电镜结果表明,芦丁—酪蛋白复合物呈片状,表面平滑,这有助于发挥复合物的功能特性;红外光谱结果显示,复合物在酰胺Ⅰ带和酰胺Ⅱ带峰变宽,发生红移,荧光强度和同步荧光的荧光强度下降,发生荧光淬灭,芦丁对酪蛋白的二级结构产生影响,蛋白质的构象发生改变。结论 与未复合的酪蛋白相比,芦丁—酪蛋白复合物的溶解性、表面疏水性及抗氧化活性增强。

      • 0+1
      • 1+1
      • 2+1
      • 3+1
      • 4+1
      • 5+1
      • 6+1
      • 7+1
    • 双翅六道木嫩叶果胶超声波辅助酶法提取及结构表征

      2025, 41(7):18-23. DOI: 10.13652/j.spjx.1003.5788.2024.60143

      摘要 (159) HTML (102) PDF 0.00 Byte (272) 评论 (0) 收藏

      摘要:目的 明确双翅六道木嫩叶中果胶的理化性质、微观结构、单糖组成、相对分子质量及结构特征。方法 采用超声波辅助纤维素酶法提取双翅六道木嫩叶果胶,扫描电镜下观察其微观结构,利用高效液相色谱法测定其单糖组成,通过多糖水解衍生化测定其相对分子质量,并利用红外光谱法推测其可能的结构。结果 双翅六道木嫩叶果胶得率为23.38%,其酯化度为1.17%、半乳糖醛酸含量为72.16%,该果胶呈片状且含有裂痕,其单糖主要由半乳糖醛酸、葡萄糖、阿拉伯糖、半乳糖、鼠李糖、甘露糖和木糖等组成,重均分子量(Mw)和数均分子量(Mn)分别为7.069×105,3.434×105,Mw/Mn为2.06,并具有典型的果胶吸收光谱特征。结论 超声波辅助酶法提取的双翅六道木嫩叶果胶是一种结构线性度较低,以含有较短侧链的RG-I型结构为主的符合商业要求的果胶。

      • 0+1
      • 1+1
      • 2+1
    • 氯化钠对猪血浆蛋白功能及结构特性的影响

      2025, 41(7):24-31. DOI: 10.13652/j.spjx.1003.5788.2024.80670

      摘要 (115) HTML (111) PDF 0.00 Byte (270) 评论 (0) 收藏

      摘要:目的 探究氯化钠对猪血浆蛋白功能及结构特性的影响。方法 采用不同浓度(0~1.0 mol/L)氯化钠对猪血浆蛋白进行处理,通过紫外分光光度计、激光粒度分析仪、Zeta-电位分析仪等测定猪血浆蛋白功能及结构特性的变化。结果 氯化钠促进了猪血浆蛋白的溶解度,并在0.2 mol/L时达到峰值,随着氯化钠浓度的进一步增加,溶解度呈下降趋势,猪血浆蛋白的表面疏水性及乳化性的变化趋势在0.8 mol/L时出现了转折,最大升高比例分别为69.75%和23.88%,氯化钠对猪血浆蛋白的起泡性产生了不利影响,表现为起泡能力的下降;此外,与对照组相比,猪血浆蛋白的持水性降低,最大降幅达到40.18%,而持油性和浊度增加,最高增幅分别为50.22%和37.93%;结构特性方面的变化表现为猪血浆蛋白的紫外吸收光谱出现蓝移,平均粒径增大,Zeta电位绝对值及自由巯基含量减少,表明氯化钠促进了猪血浆蛋白分子间的紧密结合,从而导致蛋白结构特性的改变。结论 氯化钠可使猪血浆蛋白质分子间的相互作用增强,从而改变蛋白质的结构特性,进而达到调控其功能特性。

      • 0+1
      • 1+1
      • 2+1
      • 3+1
      • 4+1
      • 5+1
      • 6+1
      • 7+1
    • >安全与检测
    • 高效液相色谱—串联质谱法测定原料乳粉中乳脂球膜蛋白

      2025, 41(7):32-38. DOI: 10.13652/j.spjx.1003.5788.2024.60149

      摘要 (123) HTML (61) PDF 0.00 Byte (285) 评论 (0) 收藏

      摘要:目的 建立一种基于特征肽的乳脂球膜蛋白液相色谱串联质谱定量检测方法。方法 从乳脂球膜蛋白酶解产物中筛选出特征肽,通过多反应监测模式,对原料乳粉中的乳脂球膜蛋白进行定量测定,同时人工合成同位素内标肽段以降低基质效应和抵消处理过程中的损失。结果 方法定量限为0.234~0.811 mg/g。低、中、高3个添加水平回收率为82.5%~105.6%,相对标准偏差为2.2%~10.3%。结论 试验方法准确性和灵敏度高、特异性强,可满足原料乳粉中不同含量水平的乳脂球膜蛋白定量测定要求。

      • 0+1
      • 1+1
      • 2+1
    • 无氰化物降解—亲水保留液相色谱—荧光检测法测定婴幼儿配方奶粉中维生素B12

      2025, 41(7):39-45. DOI: 10.13652/j.spjx.1003.5788.2025.80464

      摘要 (86) HTML (86) PDF 0.00 Byte (254) 评论 (0) 收藏

      摘要:目的 建立一种基于间接检测维生素B12降解产物α-核唑(维生素B12的核苷组分)测定总维生素B12含量的检验方法,用于测定婴幼儿配方奶粉中维生素B12总量。方法 试样经蛋白质变性与糖类去除后,进行酸水解与酶解去磷酸化,释放α-核唑,通过硼酸亲和柱净化,最终采用亲水保留液相色谱—荧光检测法(HILIC-FLD)进行定量分析。结果 α-核唑在1.00~10.0 μg/L范围内线性关系良好,相关系数R2为0.999 1,加标回收率为72.5%~78.3%,相对标准偏差(RSD)为4.56%~7.28%,方法检出限(LOD)为0.4 μg/100 g,定量限(LOQ)为1.2 μg/100 g。Bland-Altman 分析结果表明,该方法和国标法的测定结果之间无明显差异且一致性较好。结论 该方法灵敏度高,重现性好,无需氰化物进行前处理即可准确测定婴幼儿配方奶粉中维生素B12总含量。

      • 0+1
      • 1+1
      • 2+1
      • 3+1
      • 4+1
      • 5+1
      • 6+1
    • 纳米比色传感技术检测食用油的种类

      2025, 41(7):46-50. DOI: 10.13652/j.spjx.1003.5788.2024.81105

      摘要 (87) HTML (77) PDF 0.00 Byte (260) 评论 (0) 收藏

      摘要:目的 开发纳米比色传感阵列,以识别食用油种类。方法 该比色传感阵列由化学响应染料制成,采用多孔二氧化硅纳米球(PSN)对其进行修饰,以提高灵敏度和稳定性。利用纳米比色传感器对4种食用油进行分类识别,采用主成分分析法(PCA)将4种油样的特征数据进行降维,并将降维后的数据导入支持向量机(SVM)、K近邻(KNN)、线性判别分析(LDA)3种分类模型中。结果 试验建立的SVM分类模型能很好地区分4种食用油种类,测试集准确率相比其他方法提高了4%。结论 纳米比色传感器阵列技术可用于食用油种类的无损检测。

      • 0+1
      • 1+1
      • 2+1
      • 3+1
      • 4+1
      • 5+1
    • 滴定法测定菜籽油中过氧化值的不确定度评定

      2025, 41(7):51-55. DOI: 10.13652/j.spjx.1003.5788.2024.80881

      摘要 (97) HTML (137) PDF 0.00 Byte (246) 评论 (0) 收藏

      摘要:目的 提高滴定法测定菜籽油中过氧化值的准确性和可靠性。方法 用滴定法测定菜籽油中的过氧化值,并建立数学模型,对不确定度来源进行分析,评定各不确定度分量,最终计算出合成不确定度。结果 菜籽油中过氧化值含量为0.043 g/100 g时,扩展不确定度为±0.001 06 g/100 g(k=2)。结论 影响检测结果不确定度的因素主要是试样测量重复性和滴定体积,其他因素影响相对较小,使用精度高的A级滴定管和增加平行测定的次数可以降低检测的不确定度。

      • 0+1
    • 龙牙百合不同器官重金属含量分布特征及健康风险评估

      2025, 41(7):56-64. DOI: 10.13652/j.spjx.1003.5788.2024.80841

      摘要 (120) HTML (135) PDF 0.00 Byte (261) 评论 (0) 收藏

      摘要:目的 探究龙牙百合不同器官无机元素分布特征,并对其重金属进行健康风险评估。方法 采用电感耦合等离子体发射光谱法(ICP-OES)测定不同产地龙牙百合鳞茎、茎、叶、花中铜(Cu)、汞(Hg)、铅(Pb)、镉(Cd)、铬(Cr)、砷(As)6种重金属元素的含量,结合靶标危害系数法(THQ)和致癌风险(CR)进行健康风险评估。结果 ICP-OES方法线性、检测限、精密度、重复性和稳定性试验结果均良好,实际药材的加样回收率为98.25%~105.81%;不同器官的龙牙百合无机元素差异显著,其中鳞茎、茎、叶、花蕾这4个器官均存在不同程度Cr超标现象,含量依次为茎>鳞茎>叶>花蕾,且叶Cd含量超标。不同产地的龙牙百合样品均无健康风险,对人体不会产生非致癌与致癌风险,但其茎、叶的THQ的总和大于THQ标准值,应长期关注龙牙百合茎、叶中这些有害元素对健康的影响。结论 研究建立的方法可以用于龙牙百合药材中Cu、Hg、Pb、Cd、Cr、As残留量的测定和风险评估。

      • 0+1
      • 1+1
      • 2+1
    • 基于改进YOLOv5s的白酒摘酒酒度检测方法

      2025, 41(7):65-71. DOI: 10.13652/j.spjx.1003.5788.2024.80988

      摘要 (116) HTML (78) PDF 0.00 Byte (247) 评论 (0) 收藏

      摘要:目的 提高白酒的质量和产量,实现摘酒酒度的高效精准检测,建立改进YOLOv5s的白酒摘酒酒度模型。方法 结合YOLOv5s模型的自动提取特征,利用ShuffleNetV2轻量化模块替换原始模型中的特征提取模块,减少模型层级结构,使模型更加轻量化;在特征提取部分添加CBAM双通道注意力机制,提取不同维度的特征信息;使用SIOU损失函数替换原始模型的损失函数;构建一个基于YOLOv5s改进模型的白酒酒度检测方法。结果 改进后的模型准确率为91.9%,模型大小为6.7 MB,召回率和平均精度均值分别为89.3%和96.3%,较原始YOLOv5s模型分别提升了10.3%和12.3%;与当前主流的YOLOv3、YOLOv5m和YOLOv8 等模型相比,平均精度均值分别提升了44.3%,9.3%,13.1%。结论 试验提出的YOLOv5s改良模型对白酒摘酒酒度检测具有较高的准确率。

      • 0+1
      • 1+1
      • 2+1
      • 3+1
      • 4+1
      • 5+1
      • 6+1
      • 7+1
      • 8+1
    • >食品装备与智能制造
    • 基于改进NSGA-III的多Delta机器人协作食品动态分拣研究

      2025, 41(7):72-77. DOI: 10.13652/j.spjx.1003.5788.2025.60021

      摘要 (480) HTML (78) PDF 0.00 Byte (244) 评论 (0) 收藏

      摘要:目的 探索提升多Delta机器人协作的食品动态分拣准确率和效率的方法。方法 基于多Delta机器人食品自动化生产线,提出一种结合动态目标跟踪、多机器人任务分类和机器人轨迹规划的多Delta机器人协作食品动态分拣方法。通过精确计算传送带移动距离,并结合相机实时采集的目标坐标信息,实现对食品动态位置的精准捕捉。通过集中控制分配策略,根据各机器人的工作状态与任务优先级,科学合理地进行任务分配。通过改进的第三代非支配排序遗传算法和5次非均匀有理B样条曲线实现多目标综合最优轨迹规划。并通过搭建试验平台对所提方法的性能进行全面验证。结果 试验所提多Delta机器人协作分拣方法具有优异的性能。在实际运行中,该方法实现了食品分拣的高精度、高效率与高稳定性,分拣成功率为100%,分拣平均时间为0.231 s,平均运行冲击为4.45×103 (°)/s3,平均运行能耗为2.45×102 (°)/s2,有效满足了食品生产对高效、稳定作业的需求。结论 通过优化现有动态分拣方法并结合多机器人可以实现食品的准确、高效和稳定分拣。

      • 0+1
      • 1+1
      • 2+1
    • 基于物联网和机器学习的番茄内外品质在线检测

      2025, 41(7):78-85. DOI: 10.13652/j.spjx.1003.5788.2025.60016

      摘要 (516) HTML (104) PDF 0.00 Byte (261) 评论 (0) 收藏

      摘要:目的 解决传统的番茄人工分级效率低、主观性强的问题,开发一套基于物联网与机器学习技术的番茄内外品质在线检测与分级系统,实现番茄内外品质无损实时检测。方法 融合机器视觉与近红外光谱技术,基于物联网和机器学习技术,设计并实现了一套番茄在线无损检测与分级系统。通过实时采集番茄的外部图像和内部光谱信息,通过深度学习模型对外部缺陷、果形指数和果径进行检测,同时利用近红外光谱技术预测番茄的可溶性固形物和硬度,最终实现番茄的在线检测与分级。结果 番茄品质在线检测系统性能优异:外部品质检测准确率为94.9%,内部品质预测模型准确率为87.3%,融合分级后综合准确率提升至88.5%,系统处理效率达19个/min。结论 通过机器视觉与近红外光谱的协同优化,突破了传统单一品质检测的局限性,显著提升了番茄内外品质分级的精度与效率。

      • 0+1
      • 1+1
      • 2+1
      • 3+1
      • 4+1
      • 5+1
      • 6+1
      • 7+1
      • 8+1
      • 9+1
      • 10+1
      • 11+1
    • 气动执行机构在食品分拣机械中的精准定位与误差补偿模型

      2025, 41(7):86-94. DOI: 10.13652/j.spjx.1003.5788.2025.80459

      摘要 (372) HTML (82) PDF 0.00 Byte (241) 评论 (0) 收藏

      摘要:目的 研究气动执行机构在食品分拣机械中的精准定位与误差补偿模型,提高定位精度和动态响应。方法 分析气缸直径、位置传感器分辨率、摩擦力等因素对定位精度的影响,提出一种基于Stribeck摩擦模型的修正方法,并采用ARIMA模型进行气压波动预测补偿。结合模糊PID自整定算法和双闭环控制架构优化控制策略。结果 通过数字孪生平台验证,负载突变时最大跟踪误差从0.38 mm降至0.05 mm,稳定时间减少至0.48 s。连续24 h试验中,定位误差标准差在±0.03 mm以内。在工业验证阶段,定位时间从120 ms减少至85 ms,废品率降至0.15%。结论 试验模型可显著提高食品分拣机械的定位精度、动态响应和稳定性。

      • 0+1
      • 1+1
      • 2+1
      • 3+1
      • 4+1
      • 5+1
      • 6+1
    • >贮运与保鲜
    • 电子束辐照对不同植物油制备的辣椒油类胡萝卜素和辣椒素类物质的影响

      2025, 41(7):95-101. DOI: 10.13652/j.spjx.1003.5788.2025.80365

      摘要 (1386) HTML (89) PDF 0.00 Byte (249) 评论 (0) 收藏

      摘要:目的 研究不同植物油制备的辣椒油中类胡萝卜素和辣椒素类物质的辐照稳定性。方法 以菜籽油(RO)、大豆油(SO)及其混合油(RSO)分别制备的辣椒油RO-P、SO-P和RSO-P为试材,采用高能电子束(10 MeV)对其进行辐照处理,研究不同辐照剂量(4~12 kGy)对辣椒油过氧化值(PV)、酸价(AV)、类胡萝卜素含量和辣椒素类物质含量的影响。结果 电子束辐照促进了辣椒油的脂肪氧化,导致PV和AV增高,SO-P的脂肪氧化程度最大。当辐照剂量为4~12 kGy时,电子束辐照诱导的辣椒油的脂肪氧化酸败仍在可接受范围内。电子束辐照以剂量依赖的方式促进了辣椒油类胡萝卜素和辣椒素类物质的降解。在所有辣椒油中,辣椒玉红素的辐照稳定性最强,其次为β-胡萝卜素、β-隐黄素、玉米黄质和辣椒红素,而辣椒素和二氢辣椒素的辐照稳定性相当。尽管SO-P在电子束辐照过程中更易发生脂肪氧化,但SO-P中类胡萝卜素和辣椒素类物质的辐照稳定性更高。结论 不同辣椒油中类胡萝卜素和辣椒素类物质的辐照稳定性受到植物油原料中脂肪酸分布和抗氧化物质含量的影响。

      • 0+1
      • 1+1
      • 2+1
    • 紫淮山可视化活性膜的制备及性能研究

      2025, 41(7):102-112. DOI: 10.13652/j.spjx.1003.5788.2024.81075

      摘要 (92) HTML (81) PDF 0.00 Byte (250) 评论 (0) 收藏

      摘要:目的 以紫淮山中固有的花色苷为指示剂,以紫淮山本身丰富的淀粉、多糖、蛋白质等成分为基材,开发可视化活性膜,为鱼肉的质量控制提供一种直观有效的新手段。方法 紫淮山经生制、蒸制、煮制方式处理,冷冻干燥制得3种紫淮山粉,分别制备生制、蒸制、煮制可视化活性膜,并探究柠檬酸添加量对膜性质的影响。基于膜的综合分析,筛选出最优活性膜,并将其应用于25 ℃贮藏鱼肉的48 h实时新鲜度监测,通过膜颜色与新鲜度指标的相关性分析验证其指示效果。结果 3种紫淮山粉性质不同。煮制淮山粉的总酚和总花色苷含量分别达3.34 mg/g和0.64 mg/kg,添加1.00 g柠檬酸煮制淮山粉制备的膜色差值为17.65、含水率为12.25%、断裂伸长率达56.66%。蒸制和煮制紫淮山粉制备的膜遇到氨气和pH为1.0~14.0缓冲溶液时颜色变化明显,对鱼类腐败过程中产生的挥发性胺类物质可作出快速响应。结论 煮制和蒸制紫淮山粉制备的膜具有更广的显色范围,添加柠檬酸使膜显色范围发生变化。在鱼肉的整个贮藏期,可视化活性膜的颜色变化与鱼肉腐败程度密切相关。优化紫淮山熟化方式及调控柠檬酸添加量,可以开发出适于鱼类新鲜度实时监测的可视化活性膜。

      • 0+1
      • 1+1
      • 2+1
      • 3+1
      • 4+1
      • 5+1
      • 6+1
      • 7+1
      • 8+1
      • 9+1
      • 10+1
      • 11+1
      • 12+1
      • 13+1
      • 14+1
      • 15+1
      • 16+1
      • 17+1
      • 18+1
      • 19+1
      • 20+1
      • 21+1
      • 22+1
      • 23+1
      • 24+1
      • 25+1
      • 26+1
      • 27+1
      • 28+1
      • 29+1
      • 30+1
      • 31+1
      • 32+1
      • 33+1
      • 34+1
      • 35+1
      • 36+1
      • 37+1
      • 38+1
      • 39+1
      • 40+1
      • 41+1
      • 42+1
      • 43+1
      • 44+1
      • 45+1
      • 46+1
      • 47+1
      • 48+1
      • 49+1
      • 50+1
    • 3种抗冻剂对虾滑冻融品质的影响

      2025, 41(7):113-119. DOI: 10.13652/j.spjx.1003.5788.2024.81014

      摘要 (124) HTML (120) PDF 0.00 Byte (231) 评论 (0) 收藏

      摘要:目的 对比3种抗冻剂对虾滑抗冻性的提升效果。方法 制备虾滑样品,测定反复冻融3次后虾滑的凝胶强度、储能模量、盐溶性蛋白含量、巯基含量、黏度、微观结构等指标,对比添加不同含量的海藻糖、山梨糖醇、鳕鱼鳞胶原蛋白肽后经反复冻融的虾滑品质的变化。结果 鳕鱼鳞胶原蛋白肽添加组虾滑的凝胶强度、巯基含量均高于海藻糖添加组和山梨糖醇添加组,其结构更致密、孔径大小更规则有序,且其黏度显著高于海藻糖添加组和山梨糖醇添加组。结论 添加鳕鱼鳞胶原蛋白肽可显著抑制虾滑冻融过程中蛋白变性程度,提高虾滑的抗冻性。

      • 0+1
      • 1+1
      • 2+1
      • 3+1
      • 4+1
      • 5+1
    • 金银花无硫护色工艺优化及干燥技术比较

      2025, 41(7):120-129. DOI: 10.13652/j.spjx.1003.5788.2025.60022

      摘要 (88) HTML (65) PDF 0.00 Byte (234) 评论 (0) 收藏

      摘要:目的 开发绿色加工技术,抑制新鲜金银花褐变并提升其干燥品质。方法 以多酚氧化酶相对酶活力和色差值为评价指标,通过响应面法优化无硫复合护色剂(柠檬酸、D-异抗坏血酸钠、DL-苹果酸钠)工艺,并对比分析真空冷冻、微波等干燥方式对护色后产品品质的影响。结果 柠檬酸的抑褐变效果最佳,其最佳工艺参数为柠檬酸浓度0.105 mol/L,D-异抗坏血酸钠浓度0.124 mol/L,热烫时间146 s。真空冷冻干燥可最大程度保留产品活性成分,但效率较低;微波干燥在保持产品品质的同时可显著提高干燥效率。结论 优化后的无硫护色工艺结合微波干燥可实现高效抑褐与品质提升。

      • 0+1
      • 1+1
      • 2+1
      • 3+1
    • >营养与活性
    • 铁皮石斛典型黄酮抗氧化活性及分子机制研究

      2025, 41(7):130-136. DOI: 10.13652/j.spjx.1003.5788.2025.80308

      摘要 (159) HTML (140) PDF 0.00 Byte (271) 评论 (0) 收藏

      摘要:目的 探究铁皮石斛中典型黄酮芹菜素及其糖苷化合物的抗氧化活性及分子机制。方法 通过DPPH自由基清除试验检测芹菜素及其糖苷化合物的抗氧化活性,并通过Western Blotting技术检测其对HepG2细胞中抗氧化蛋白表达的影响。结果 牡荆素的抗氧化能力显著强于芹菜素和新西兰牡荆苷Ⅱ,对DPPH自由基清除率的IC50值为43.48 mmol/L;细胞MTT试验证实,芹菜素(20 μmol/L)、牡荆素以及新西兰牡荆苷Ⅱ(80 μmol/L)对HepG2细胞无毒性;在正常HepG2细胞中,5 μmol/L芹菜素相较于其糖苷化合物,显著上调抗氧化蛋白Nrf2和NQO1的表达;在t-BHP诱导的氧化应激模型中,芹菜素可通过诱导Nrf2核易位,激活NQO1、HO-1及Nrf2的表达,提升SOD活性、增加GSH含量,显著减轻氧化损伤。结论 铁皮石斛黄酮芹菜素可通过激活Nrf2通路来发挥显著的抗氧化功效。

      • 0+1
      • 1+1
      • 2+1
      • 3+1
      • 4+1
      • 5+1
      • 6+1
      • 7+1
      • 8+1
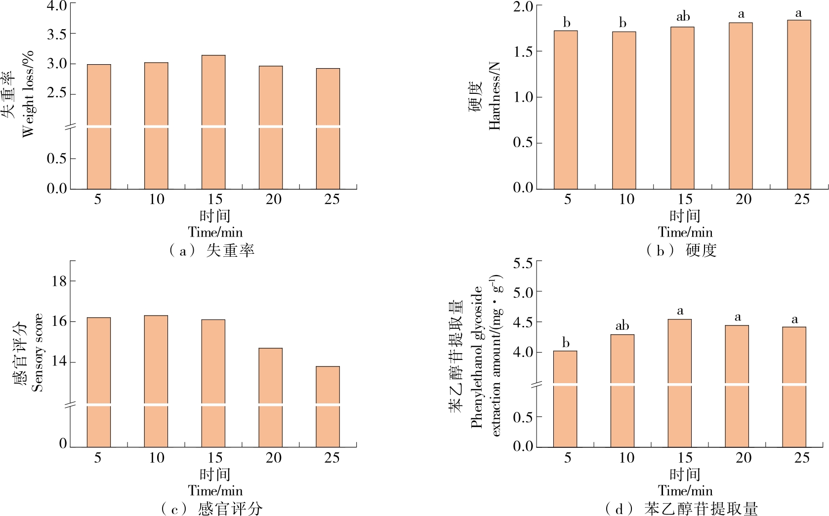
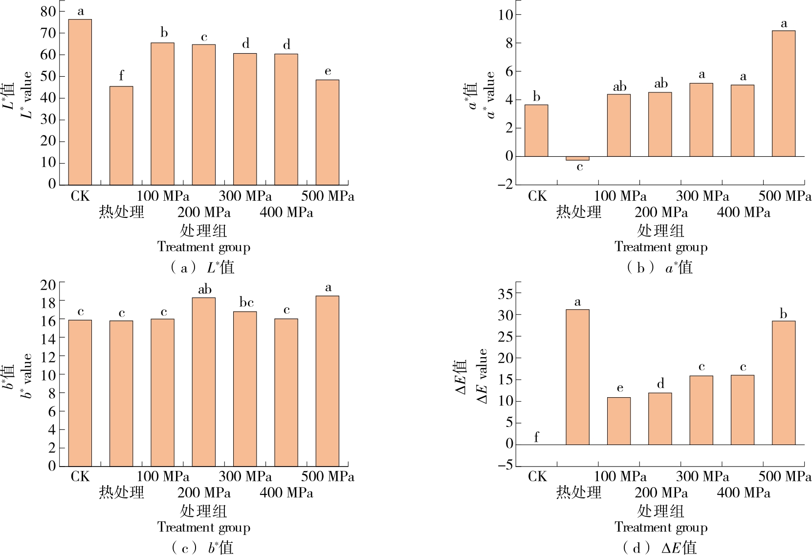
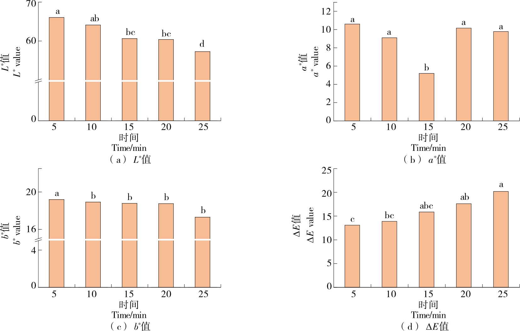
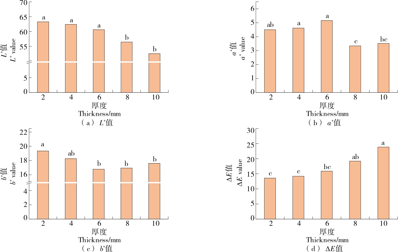
    • 高静压技术对鲜切荒漠肉苁蓉品质及苯乙醇苷提取量的影响

      2025, 41(7):137-148. DOI: 10.13652/j.spjx.1003.5788.2024.80946

      摘要 (109) HTML (58) PDF 0.00 Byte (239) 评论 (0) 收藏

      摘要:目的 探究高静压处理的压力、时间和切片厚度对鲜切肉苁蓉品质和苯乙醇苷提取量的影响。方法 采用单因素结合响应面试验的方法优化高静压处理在肉苁蓉中的应用参数。结果 单因素优化结果显示:随着压力从100 MPa升高到500 MPa和处理时间从10 min延长到25 min,肉苁蓉色差值、硬度和苯乙醇苷提取量增加;随着切片厚度增加(2~10 mm),肉苁蓉色差增加,但硬度和苯乙醇苷提取量降低;三者最优参数为200~300 MPa、15~25 min、2~6 mm。响应面优化结果显示,压力对苯乙醇苷提取量的影响更为显著;最优条件为压力294.341 MPa、时间14.658 min、切片厚度3.644 mm,此时苯乙醇苷提取量较高,为(5.35±0.21) mg/g。结论 高静压处理的压力作为主要因素改善了肉苁蓉的品质,并促进了苯乙醇苷的提取,而切片厚度的减薄效应和处理时间的适度延长作为次要因素影响苯乙醇苷提取量。

      • 0+1
      • 1+1
      • 2+1
      • 3+1
      • 4+1
      • 5+1
      • 6+1
    • 儿茶素协同亚硫酸解聚山葡萄籽高聚原花青素及抗氧化研究

      2025, 41(7):149-157. DOI: 10.13652/j.spjx.1003.5788.2024.80693

      摘要 (70) HTML (73) PDF 0.00 Byte (221) 评论 (0) 收藏

      摘要:目的 解决高聚原花青素生物利用率低的问题。方法 以从紫秋山葡萄籽中提取、分离及纯化得到的高聚原花青素(PPC)为原料,平均聚合度为评价指标,儿茶素(C)结合亚硫酸为解聚剂,考察料物比(mCmPPC)、亚硫酸添加量、反应时间、反应温度4个因素对平均聚合度的影响,采用响应面试验优化解聚高聚原花青素的工艺参数,并进行抗氧化活性分析。结果 儿茶素协同亚硫酸能较好地解聚山葡萄籽高聚原花青素,其最优工艺为料物比0.45∶1、亚硫酸添加量6%、反应时间31 min、反应温度40 ℃,在该条件下解聚后原花青素的平均聚合度为1.83,与解聚前比降低了4.09个单位。解聚后的原花青素抗氧化能力得到显著提升,其DPPH·、ABTS·及·OH的清除能力分别是解聚前的3.31倍、1.28倍和1.21倍,铁氰化钾还原力显著高于解聚前的。结论 儿茶素协同亚硫酸对山葡萄籽高聚原花青素有较好的解聚作用,节约成本,并能提升其抗氧化能力。

      • 0+1
      • 1+1
      • 2+1
      • 3+1
      • 4+1
      • 5+1
    • 鼠李糖乳杆菌CQFP202412对抗生素损伤小鼠的大脑、肠道和运动机能的保护作用

      2025, 41(7):158-167. DOI: 10.13652/j.spjx.1003.5788.2024.81134

      摘要 (107) HTML (75) PDF 0.00 Byte (233) 评论 (0) 收藏

      摘要:目的 探讨鼠李糖乳杆菌CQFP202412通过抗氧化、抗炎对小鼠肠屏障、肝脏、脑神经以及运动功能的改善作用。方法 腹腔注射混合抗生素(5 mg/mL新霉素,25 mg/mL万古霉素,0.1 mg/mL两性霉素B,10 mg/mL氨苄西林,5 mg/mL甲硝唑,1.5 μg/mL脂多糖)造模小鼠,并用鼠李糖乳杆菌CQFP202412干预,试验结束后测定小鼠负重游泳及跑步力竭时间,肝脏指数、血清和大脑氧化炎症等指标;采用HE染色法观察脑组织病理变化,PCR法检测大脑炎症通路基因以及肠道屏障关键基因的表达。结果 对比造模小鼠,热灭活鼠李糖乳杆菌CQFP202412和鼠李糖乳杆菌CQFP202412均可显著延长小鼠负重游泳时间和跑步时间(P<0.05);体重变化不明显,肝脏指数显著下降(P<0.05);病理学切片显示小鼠大脑皮层神经元形态得到修复;血清和大脑中MDA、IL-6、TNF-α水平显著降低(P<0.05),SOD、GSH和IL-10水平显著增加(P<0.05);大脑中AKT/CREB/BDNF/ERK1通路基因表达显著提高(P<0.05),IL-6基因表达显著降低(P<0.05);盲肠ZO-1、Occludin-1和Claudin-1基因表达显著提高(P<0.05),其中Occludin-1高于正常小鼠体内水平的1.26,1.46倍;鼠李糖乳杆菌CQFP202412和热灭活鼠李糖乳杆菌CQFP202412在上述结果中未表现出显著性差异。结论 热灭活鼠李糖乳杆菌CQFP202412和鼠李糖乳杆菌CQFP202412能够显著抵抗抗生素导致的小鼠运动机能下降、肝脏和肠道屏障损伤以及脑中枢神经的氧化炎症(P<0.05),且两者效果相近,在功能性益生菌开发方面具有潜在应用价值。

      • 0+1
      • 1+1
      • 2+1
      • 3+1
      • 4+1
    • 核桃油的降血脂作用及其机制

      2025, 41(7):168-174. DOI: 10.13652/j.spjx.1003.5788.2024.81158

      摘要 (121) HTML (102) PDF 0.00 Byte (205) 评论 (0) 收藏

      摘要:目的 探究核桃油对脂质代谢的影响及其作用机制。方法 通过高脂饮食建立SD大鼠高脂模型,使用500,1 000,1 500 mg/kg未经稀释的核桃油进行分组灌胃干预试验,检测干预8周后SD大鼠体重和脏器指数、血清血脂生化指标含量以及血清抗氧化相关指标,分析核桃油对SD大鼠的脏器、血脂以及抗氧化系统的影响;采用QPCR法检测大鼠肝脏ABCA1 mRNA、ABCG1 mRNA表达、SREBP2-HMGCR信号途径和PPARα-LXRα-CYP7A1信号通路基因表达情况,分析核桃油调节肝脏胆固醇代谢机制。结果 与高脂模型组相比,核桃油可以显著降低SD大鼠体重和肝脏指数(P<0.05),对心脏指数、肾脏指数和脾脏指数无影响。核桃油可以显著降低SD大鼠血清中的TC、TG及LDL(P<0.05),还可显著提高HL和LPL含量来调节LDL和HDL(P<0.05)。此外,核桃油可显著升高SOD、GSH-Px、CAT和T-AOC含量(P<0.05),显著降低MDA含量(P<0.05)。核桃油可显著上调ABCA1 mRNA与ABCG1 mRNA表达量(P<0.05)和下调SREBP2 mRNA与HMGCR mRNA表达量,以及上调PPARα mRNA、LXRα mRNA与CYP7A1 mRNA表达量。结论 核桃油可通过降低肝脏TC的生物合成和增强肝脏TC细胞摄取和分解排泄而降低血清TC水平,还可以通过增加抗氧化系统酶类表达来改善抗氧化系统的失衡。

      • 0+1
      • 1+1
      • 2+1
      • 3+1
      • 4+1
      • 5+1
    • 枸杞多糖的抗疲劳活性研究

      2025, 41(7):175-182. DOI: 10.13652/j.spjx.1003.5788.2024.81082

      摘要 (78) HTML (88) PDF 0.00 Byte (209) 评论 (0) 收藏

      摘要:目的 明确枸杞多糖发挥抗疲劳功效的主要组成成分。方法 采用水提、超滤膜分级透析等方法制备不同相对分子质量的枸杞多糖组分,通过小鼠负重游泳试验获得抗疲劳活性较好的组分,进一步利用离子交换柱和凝胶层析柱对其进行洗脱纯化,测定其相对分子质量、单糖组分,并进行红外光谱分析。结果 不同相对分子质量的枸杞多糖中多糖含量为63.62%~75.63%、蛋白质含量为1.77%~2.63%、糖醛酸含量为17.77%~24.77%,其中LBP2组分的得率较高,4种组分的相对分子质量分别为115.3×103,47.4×103,8.14×103,4.82×103;LBP2组分在延长游泳时间,降低尿素氮、血乳酸含量,提高肌糖原、肝糖原含量,增强超氧化物歧化酶、过氧化物酶、谷胱甘肽过氧化物酶活力(P<0.05)方面优于其他组分;LBP2经纯化获得了酸性多糖LBPE1、LBPE2和LBPE3,LBPE1和LBPE2的相对分子质量分别为3.54×104,1.10×104 ,主要由甘露糖、鼠李糖、半乳糖醛酸、葡萄糖、半乳糖和阿拉伯糖组成,其摩尔比分别为0.73∶1.61∶0.53∶3.22∶6.33∶8.26和1.94∶1.81∶1.36∶6.77∶8.46∶6.57,具有多处明显的多糖特征吸收峰,且均为β-吡喃糖苷类多糖。结论 枸杞多糖片段LBPE1和LBPE2是其发挥抗疲劳作用的主要组成物质。

      • 0+1
      • 1+1
      • 2+1
      • 3+1
      • 4+1
      • 5+1
      • 6+1
      • 7+1
    • >开发应用
    • 阿洛酮糖对海绵蛋糕面糊性能和品质的影响

      2025, 41(7):183-189. DOI: 10.13652/j.spjx.1003.5788.2024.81193

      摘要 (122) HTML (90) PDF 0.00 Byte (209) 评论 (0) 收藏

      摘要:目的 探究阿洛酮糖是否可以替代蔗糖应用于海绵蛋糕中。方法 以阿洛酮糖作为甜味剂替代蔗糖制作海绵蛋糕,考察阿洛酮糖替代量(0%,10%,20%,30%,40%,50%,以蔗糖质量计)对海绵蛋糕的面糊性能和烘焙品质的影响。结果 添加阿洛酮糖可以提高蛋液的起泡能力、面糊的糊化温度和黏度。随着阿洛酮糖添加量的增加,海绵蛋糕的烘焙损失率从11.46%显著降低至10.31%,比容由3.75 mL/g增至4.34 mL/g,海绵蛋糕的颜色加深,硬度和咀嚼性呈先降低后增加趋势,弹性和回复性无显著变化。结论 阿洛酮糖可部分替代蔗糖,适宜替代量为10%~30%。

      • 0+1
      • 1+1
      • 2+1
      • 3+1
      • 4+1
    • 黄精粉对面团特性及面包品质的影响

      2025, 41(7):190-198. DOI: 10.13652/j.spjx.1003.5788.2024.81015

      摘要 (105) HTML (71) PDF 0.00 Byte (204) 评论 (0) 收藏

      摘要:目的 拓展黄精在面包中的应用,提高面包的保健功能。方法 在小麦粉中添加黄精粉,研究其对面粉糊化、面筋结构、面团流变学特性以及面包烘焙品质的影响。结果 添加黄精粉后,面粉的糊化温度升高,峰值黏度和回生值下降;面团中面筋得率降低。面筋蛋白的二级结构发生变化,面筋蛋白中的无规卷曲结构增加。黄精粉能增加面团硬度、面团的弹性模量和黏性模量,但面团的发酵体积有所降低。黄精粉对面包烘焙品质有一定的影响,随着黄精粉量的增加,面包比容呈先增加后降低的趋势。黄精粉的添加破坏了面筋蛋白均匀致密的微观结构,使面包的硬度和咀嚼性增大,降低了面包的适口性。结论 黄精粉在一定程度上改变了面团特性和面包烘焙品质。在小麦粉中添加2%~6%的黄精粉,可生产出感官品质可接受的富含生物活性成分的功能性面包。

      • 0+1
      • 1+1
      • 2+1
      • 3+1
      • 4+1
      • 5+1
      • 6+1
      • 7+1
      • 8+1
      • 9+1
    • 花椒叶总黄酮超声辅助低共熔溶剂提取工艺优化及抗氧化性分析

      2025, 41(7):199-206. DOI: 10.13652/j.spjx.1003.5788.2024.81115

      摘要 (143) HTML (114) PDF 0.00 Byte (208) 评论 (0) 收藏

      摘要:目的 探究低共熔溶剂对花椒叶总黄酮提取率的影响,并分析其抗氧化活性。方法 以花椒叶为原料,总黄酮提取率为指标,采用超声辅助进行提取,筛选出最佳低共熔溶剂体系,并测定花椒叶总黄酮化合物对羟自由基和DPPH自由基的清除能力。结果 采用氯化胆碱—乙二醇(n氯化胆碱n乙二醇为1∶3)为低共熔溶剂,当溶剂含水量为22%,料液比(m花椒粉末V溶剂)为1∶47 (g/mL),超声时间为15 min时,花椒叶总黄酮提取率最大;花椒叶总黄酮对羟自由基的清除率最高为(63.89±0.26)%,对DPPH自由基的清除率可达(89.01±0.51)%。结论 低共熔溶剂提取花椒叶总黄酮效果佳,且该花椒叶总黄酮的抗氧化能力较好。

      • 0+1
      • 1+1
      • 2+1
      • 3+1
      • 4+1
      • 5+1
      • 6+1
      • 7+1
      • 8+1
      • 9+1
    • >研究进展
    • 分子印迹电化学传感器在兽药残留检测中的应用进展

      2025, 41(7):207-218. DOI: 10.13652/j.spjx.1003.5788.2025.80583

      摘要 (148) HTML (105) PDF 0.00 Byte (215) 评论 (0) 收藏

      摘要:兽药在保障畜牧业的健康发展方面发挥了重要作用,然而兽药的不当使用或滥用可能对生态环境与人类健康构成威胁。为实现对兽药残留的有效监控,多种检测技术应运而生。其中,分子印迹电化学传感器(molecularly imprinted electrochemical sensor,MIECS)结合了分子印迹聚合物(molecularly imprinted polymers,MIPs)的高特异性识别能力与电化学分析法快速、灵敏的优点,成为兽药残留检测领域的有力工具,展现出巨大的应用潜力,但其走向规模化应用仍面临诸多挑战。文章系统综述了MIECS在不同种类(抗生素类、磺胺类、激素类、镇定类、抗寄生虫类和硝基呋喃类)兽药残留检测中的应用进展,并阐述了其未来研究方向及应用前景。

      • 0+1
      • 1+1
      • 2+1
      • 3+1
      • 4+1
      • 5+1
      • 6+1
    • 加工工艺对绿茶儿茶素类化合物影响的研究进展

      2025, 41(7):219-225. DOI: 10.13652/j.spjx.1003.5788.2024.81190

      摘要 (91) HTML (70) PDF 0.00 Byte (207) 评论 (0) 收藏

      摘要:儿茶素类化合物(catechins)是赋予绿茶苦涩滋味的关键物质,其结构与含量的变化对绿茶风味品质具有重要影响。文章通过整理目前儿茶素类化合物相关研究成果,对摊放、杀青、揉捻、干燥等绿茶主要加工过程中儿茶素类化合物的变化进行了综述,并探讨了儿茶素类化合物在加工过程中的主要变化机制及对苦涩滋味的影响。

      • 0+1
    • 纳米材料在食品保鲜和包装中的应用进展

      2025, 41(7):226-234. DOI: 10.13652/j.spjx.1003.5788.2025.80146

      摘要 (151) HTML (178) PDF 0.00 Byte (231) 评论 (0) 收藏

      摘要:纳米材料凭借其优异的抗菌性、机械性能、稳定性及智能监测功能,长期主导食品包装的创新,被视为传统食品包装和保鲜材料的潜力替代品。综述系统探讨了纳米材料在食品安全和保鲜包装中的应用,重点介绍了最新进展、集成技术的应用现状以及面临的技术瓶颈,同时指出了当前研究的局限性,并展望了食品包装纳米技术的未来方向。

      • 0+1
    • 机器学习在食品营养与健康研究中的应用

      2025, 41(7):235-242. DOI: 10.13652/j.spjx.1003.5788.2025.80128

      摘要 (128) HTML (122) PDF 0.00 Byte (238) 评论 (0) 收藏

      摘要:合理膳食是维持人体健康状态,预防和降低慢性非传染性疾病发病风险的基础。通过高效、精准分析食品中的营养与功能成分,进而提供个性化营养指导是食品营养与健康领域的研究热点。文章综述了机器学习等人工智能技术在食品营养成分分析、功能成分分析与筛选及个性化营养等方面的研究进展,并提出了该领域亟待解决的问题。

      • 0+1
      • 1+1
      • 2+1
      • 3+1
    • >包装与设计
    • 基于地域文化特色的北京老字号食品包装设计研究

      2025, 41(7):243-247. DOI: 10.13652/j.spjx.1003.5788.2025.60100

      摘要 (118) HTML (186) PDF 0.00 Byte (247) 评论 (0) 收藏

      摘要:研究了北京老字号食品包装设计的文化内涵、现存问题与创新设计路径,探索传统品牌在现代语境下如何延续与创新。研究发现,北京老字号食品包装以传统符号、地域标志性元素为载体,以品牌故事传递文化记忆,但存在同质化严重、个性化缺失、消费体验单一、缺乏社交属性等问题,难以满足年轻群体对情感共鸣、互动体验、实用功能等多维度需求。针对上述问题提出了基于情感化设计理论的三层次设计策略:本能层次——基于吸引与兴趣需求的设计策略,行为层次——基于互动与效率需求的设计策略,反思层次——基于文化与情感需求的设计策略。从而增强北京老字号食品包装的娱乐性、互动性、社交分享功能,强化包装的情感价值,提升品牌辨识度与市场竞争力。研究指出老字号食品包装设计要平衡自身品牌的传统文化与现代审美需求之间的关系,通过设计赋能实现文化价值与商业价值的双向转化,为以老字号为代表的中华传统饮食文化的可持续创新提供理论与实践参考。

      • 0+1
      • 1+1
      • 2+1
    • 干燥条件对魔芋葡甘聚糖基乳液膜成膜过程、膜结构与膜性能的影响

      2025, 41(7):248-256. DOI: 10.13652/j.spjx.1003.5788.2024.80685

      摘要 (89) HTML (64) PDF 0.00 Byte (204) 评论 (0) 收藏

      摘要:目的 探究由干燥诱导的油脂分布状态对魔芋葡甘聚糖基乳液膜结构与理化性质的影响机制。方法 构建魔芋葡甘聚糖—果胶—罗勒精油成膜乳液(K-P-OG),探究了不同干燥温度(25,30,35,40 ℃)对K-P-OG膜理化性能的影响,并通过激光扫描共聚焦显微镜(CLSM)、扫描电子显微镜(SEM)、核磁共振成像分析仪(LF-NMR),追踪了乳液膜干燥成膜过程中液滴状态和水分分布,并用流变仪分析了成膜过程中乳液膜各组分间的相互作用。结果 干燥温度为30 ℃时,罗勒精油(OG)在成膜液中均匀分散,稳定性最高,膜结构最为致密有序,理化性能最优,其拉伸强度为84.8 MPa,断裂伸长率为12.9%,水接触角为97°。随着干燥时间的延长,紧密结合水和轻度结合水之间相互渗透,成膜乳液中大分子链间的纠缠程度和氢键作用增强。结论 适宜的干燥条件有助于维持成膜乳液在成膜过程中的稳定,促进膜基质的相互作用,形成均匀致密的膜结构,显著提高乳液膜的力学和阻隔性能。

      • 0+1
      • 1+1
      • 2+1
      • 3+1
      • 4+1
      • 5+1
      • 6+1
      • 7+1
      • 8+1
快速检索
检索项
检索词
卷期检索
×
《食品与机械》
友情提示
友情提示 一、 近日有不少作者反应我刊官网无法打开,是因为我刊网站正在升级,旧网站仍在百度搜索排名前列。请认准《食品与机械》唯一官方网址:http://www.ifoodmm.com/spyjx/home 唯一官方邮箱:foodmm@ifoodmm.com; 联系电话:0731-85258200,希望广大读者和作者仔细甄别。